Speculations on a Quantum Observer Dependence to UAP Orbs

The following article is highly speculative and contains several conjectures without proof. These are not suggested as hypothesis, but merely ideas from which after further thoughts hypothesis may emerge. This is written to spark conversations on the likely physics basis of the objects we will be examining. For any fellow physicist reading this, you are asked not to take this too seriously, but more as a conversation piece from which further discussions may be facilitated. The author fully acknowledges that all the ideas suggested below may be wrong and there are alternative ideas which may be considered instead, for which you are encouraged to propose if insights into this strange phenomenon are to be elucidated. In essence, the article below is an attempt to bring together several ideas in order to construct a synthesis of understanding as to the physics nature of the objects under examination - widely known as orbs, a frequently observed aspect of unidentified anomalous phenomena (UAP).

As mentioned in a previous post, since this author has seen both plasma like orbs and spherical metallic looking structures, we have made the assumption that these are one and the same object but viewed under different conditions, particularly pertaining to the day or night, but also what energy state the orb is in. We have termed this an orb equivalence principle (described in a previous post <Read Here>) and we fully accept that this connection between what may be two separate classes of objects may be erroneous. Yet it was made to see where such thinking might lead.

One of the topics that has come up in association with UAP orbs is a connection to the conscious observer. This might either imply that orbs are themselves manifest of intelligence, or they are a technology that is constructed by an intelligence yet has an ability to connect to the observer through this technology. For this to be true, there would have to be a quantum connection between the observer and the observed. There is no evidence for this in physics, although one of the interpretations of the quantum theory from Niels Bohr was an observer dependence to any measurements and so the idea should be considered, even if we cannot prove it. This is also known as a Copenhagen interpretation.

Such a phenomenon associated with orbs would apparently be termed Psionics - although this author is not personally aware of any physics theory that would support such a fantastic notion. We know that the American intelligence established had a project in the 1970s called Project Stargate, which investigated the potential for psychic phenomena in military applications and this author knows some of the people associated with that study. This was also related to an earlier Project Sun Streak <Read Here>.

The idea of a conscious observer connection to the observation of orbs, struck a chord with me since during the observations I have personally experienced I did sense an observer dependent phenomenon. In particular, with the daytime sightings I had, on each occasion I tried to grab an optical aid, such as binoculars or a phone camera, but when I did so the object disappeared. This gave me a sense that it was aware I was observing it, and I also felt that I was aware, that it was aware - an instinct I cannot explain or justify but is one I experienced. On the second observation for example, as I saw the object I was approaching a tree tunnel and had the presence of mind to slowly get my camera ready in order to try and take a photo, since I sensed that if it saw me doing so it would vanish (as it did). But why did I act in that way? What gave me the feeling that I should take such a precaution since I had no real basis for thinking so? Indeed, this perception contradicted the fact that other observers around the world have apparently been able to take perfectly good photos of similar objects so why would I be any different? I can only report how I felt at the time.

This is all an act of high strangeness indeed. Although I admit this is a purely subjective interpretation, I cannot deny the possibility of a Psionics related hypothesis, even if I personally find it absurd from an objective measurement point of view. For example, I have never been convinced by the claims of remote viewing and I have expressed my scepticism to those in the UAP community. This is because I have no idea how this would work in practice, but if it did, we can surely say that it would likely have a basis in quantum mechanics; such as in the probability of a particle (through its wavefunction) to exist outside of its potential well.

In addition, the idea of a quantum mechanical interpretation to the phenomenon has also made me think about a different idea to explain the flight characteristics of objects. What if an object could behave like a particle with mass or a particle without mass and so move between these two extremes? This way, when we see characteristics indicative of instantaneous acceleration or cloaking, might we in fact be looking at motion that is manifest of a quantum nature, and it merely appears to us to have these characteristics as the external observer, but for example when the object vanishes this would be consistent with a significant increase in the uncertainty in the position of the object. This is opposite to the current thinking that supposes that any such hypervelocity motion would be associated with gravitational effects described by an updated version of the General Theory of Relativity.

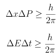
There are two uncertainty laws in physics pertaining to measurement which we now define, where dx is the uncertainty in position, dP is the uncertainty in momentum, dE is the uncertainty in energy of a quantum state and dt is the uncertainty in time in terms of the duration of a quantum state or the pulse duration of an energy excitation. These are given by inequalities as a function of the Planck constant h as follows:

In terms of the first uncertainty equation, when an object is constrained to a small box and not undergoing extensive motion, we can say that its position is well known (dx —> 0) and all of the uncertainty is in its momentum (dP —> infinity). Conversely, when the object appears to undergo instantaneous acceleration all of the uncertainty goes into its position (dx —> infinity) and its momentum becomes well defined (dP —> 0).

In terms of the second uncertainty equation, when an object is constrained within a small box and not undergoing extensive motion, we can say that its energy is well defined (dE —> 0) and all the uncertainty is in its pulse duration (dt —> infinity). Conversely, when the object appears to undergo instantaneous acceleration all the uncertainty goes into its energy measurement (dE —> infinity) and its pulse duration becomes well defined (dt —> 0).

For any particle the total energy is given by the sum of the potential energy V(x) and the Potential energy T, where the two terms are defined within a sum by:

So that for a massless photon where m = 0 we find that:

The momentum is given as a function of the frequency v, wavelength lambda and Planck's constant h so that:

Therefore the energy is given by:

For a particle with mass, in the non-relativistic limit the total energy can be approximated by the first two terms in a series expansion:

The first term is simply the rest energy. The second term becomes the classical kinetic energy equation when we substitute for the mass and velocity in the momentum. So that when the particle is at rest (p = 0) the total energy is approximated by the kinetic energy:

For completeness, we should say that in quantum mechanics the total energy of a particle is represented by the time-independent Schrodinger equation:

Where H-bar is the Hamiltonian operator, psi(x) is the wavefunction of the particle and E is the total energy eigenvalue. Then written in one-dimension the wave equation is given by:

The exact form of the total energy equation depends on what case one is considering. This includes classical, relativistic and quantum scenarios. We do not go into any further detail here however and instead focus on simple equations to garner insight. But in this context a particle’s wavefunction cannot be simultaneously localised in both position and momentum space, and so if the wavefunction is narrowed in position space such as to determine an accurate position, then this requires that the wavefunction in momentum space is spread out.

We can then take this standard quantum theory for measurement and apply it to the objects that are seen, and we propose to states on a continuum known as a lower energy state and an excited state. The lower energy state is likely to be manifest of a slow-motion object with a dull luminosity towards the infrared. The exited state is likely to be manifest of a faster motion object with a bright luminosity towards the visible light, then ultra-violet and even x-ray wavelengths in terms of any expected emission.

In the table below an attempt is made to quantify these two states of lowest to highest energy and what the expected properties will be, as well as an excited state in between. In particular we assume that at the extremes of the lower energy state (perhaps towards some ground state) the objects behave similar to a particle with mass, and at the extremes of the higher energy states the objects behave similar to a particle with no mass.

Within this paradigm, when in an observed mass configuration, the objects appear as material objects and may even appear mundane. When undergoing some rapid vanishing act, the objects have an essentially zero rest mass and are manifest of pure energy - that is all of their mass is converted into energy. Between these two states are other modes of operation along a line of a continuum of performance properties, and with characteristic emission wavelengths for the light that appears visible to an observer and this depends on the degree of excitation above a minimum ground state level.

For me personally I have seen three types of objects. (a) Spherical looking objects in the daytime under slow motion that looked very much like a material you could touch, possibly metallic but also possibly some composite (b) white objects at night shining as bright as the stars (c) slow moving yellow/golden orbs usually on their own at night. Each of these may represent the same object but under different regimes of operation mode. The specific mode they are in will determine how they appear, the brightness of any light emission and the colour of that light.

It is interesting that the author has personally observed these three states, and collectively they represent three separate data points from which has enabled this synthesis. Without those observations such speculations would not have been made. The author has also relied on the observations of other witnesses across the globe in the construction of this model, which is put together as a conjecture for consideration. This is the conjecture formed by this author and we will call it the Quantum Evanesce Principle or QEP, where an object can exist between a state equivalent to a large particle with mass analogous to an electron, or one that is massless and analogous to a photon.

Speculating further, at very high energy, since all of the mass is converted into energy, it is no longer constrained by the limits of special relativity and so can for example travel at the speed of light and for which in its metric time has no meaning and the spacetime interval between two points is zero, otherwise known as a null interval, where ds^2 = 0. This means that when in this mode Lorentz contraction and the effects of time dilation would not apply, provided the orb was travelling at a speed v = c. To do this, the orb would have to instantaneously transmute from an object mass at low speed, to an object with no mass at high speed, and then into one that is superluminal. Otherwise, to merely approach c would imply an extreme degree of length contraction. Once the object can travel at a speed equal to the speed of light, all distances along its path would collapse to a single point and so it would instantaneously arrive at its destination. In principle, this means that such objects could travel here from anywhere in the Universe. Similarly, since there would be no time dilation associated with the journey, no time would have elapsed.

We might take this idea further and suppose that the orbs can operate like atoms in atomic energy levels, in that they have a fundamental ground state and are able to become excited into higher energy states. Since these higher energy states may be unstable there would be a limit to how long they could remain in those states and eventually would have to decay back down to a fundamental ground state level, where they could remain for an indefinitely long time and where the uncertainty does not apply since they were now governed by classical laws.

The colours of the orbs shown in this graphic are arbitrary and not in any particular order. A full study of historical observations would be required to determine the likely regime of EM emission for different types of orbs.

If the orbs act in a way that is analogous to atoms, then we might also have an explanation for what some observers report as erratic behaviour, where the objects appear to appear and re-appear at different locations, giving rise to the perception of instantaneous acceleration. But instead, we might be looking at the equivalent of an interference pattern. For an individual particle like an electron, when it passes through the holes in a two slit experiment, an interference pattern is traced out, since we cannot predict where in the pattern any individual electron will land. Similarly, it may be that the orb momentarily acts like a wave, and when it re-materialises so that it is again acting like a particle, there is no certainty about where it will emerge, and potentially it is on any spot of an interference pattern. The question is, what would generate the equivalent of the two holes in the first place to cause the interference pattern, and this would have to be a capability of the orb technology itself.

One suggestion may be that the orbs have the capability to open some higher dimensional worm hole for an instant, perhaps from the quantum vacuum of space, analogous to an Einstein-Rosen Bridge as imagined in 1935 by Albert Einstein when he was trying to describe the transport of electrons through a field theory. But in the opening of these higher dimensional constructs, might they act like the effective slits, from which the wave passes and emerges on the other side as an interference pattern. We acknowledge this is wild speculation.

But wait, you might argue that this is impossible since quantum effects do not have a visible influence over macroscopic objects. This is mainly due to the incredible small value of the Planck’s constant. This has a value of h = 6.626*10^-34 Js, or a reduced Planck’s constant value of hbar = h/2pi = 1.054*10^-34 Js. The Planck constant is also known as the smallest possible quantum of action or energy transfer in a physics process, and it is related to the energy E and frequency f in a light wave through E = hf.

Since Planck’s constant is extremely small any uncertainties in measurements will also only be noticeable at microscopic scales such as at the atomic level. But for a macroscopic object the uncertainties would be so small they can be considered negligible when compared to their mass and momentum. At least this is our experience and why quantum effects do not permeate into the macroscopic world or it would cause chaos for our ability to exist and survive based on reasonable projections of the future.

Consider for example the case of a m = 10 kg spherical orb moving at a velocity of v = 10 m/s but with an uncertainty in its velocity of order dv = 10^-10 m/s. The uncertainty in the momentum would be given by mdv = 10 kg * 10^-10 m/s = 110^-9 kg m/s, and the uncertainty in its position would be given by dx > h/(2pi*dp) = 1.054*10^-24 m. Since this is such a low value it cannot possibly have any influence on a macroscopic object.

The idea that a macroscopic object is not influenced by the characteristics of their quantum states is known as quantum decoherence, since the superposition of states that characterise the quantum system become definite states that are entangled with the surrounding environment and any quantum effects are averaged out and therefore negligible. For this situation to be reversed, where quantum effects were influencing macroscopic objects, they would have to take on the property of quantum coherence. How could this possibly be achieved?

Particles can also be viewed as waves, as originally proposed by Louis de Broglie in 1924 and within this perspective matter can be seen as de Broglie waves, where the wavelength is associated with a particle momentum p and the Planck constant lambda = h/p. This insight is what led to the development of particle wave equations such as by Schrodinger in 1925.

Whilst an atomic sized object will be characterised with wave-like properties, its wavelength will be extremely small when compared to the large mass of the object, as shown by the de Broglie equation for wavelength lambda = h/p = h / (m x v). But the de Broglie wavelength for quantum particles is very small, such as at the pico-meter scale, where 1 pico-m = 10^-12 m and this is known as the atomic scale. Since for macroscopic objects the mass is even greater, and the wavelength is inversely proportional to the mass, the greater the mass the smaller the wavelength, and so it becomes so small that it is impossible to observe any interference.

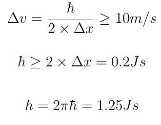
What if Planck’s constant could be changed for an instant so that quantum effects are visible on a macroscopic scale? This would have profound implications for phenomena such as the Photoelectric effect for quantised energy, blackbody radiation emission, the scattering of x-rays by electrons in Compton scattering and quantised energy levels in atomic spectra. Yet, what if it was possible to artificially change the value of the Planck’s constant so that a macroscopic object would be subject to quantum laws in a visible way? Let us consider this as a thought experiment.

Again, let us consider a 10 kg mass moving at 10 m/s and let us say we want to observe an uncertainty in the position of around dx = 1 cm = 0.01 m. The uncertainty in the momentum would then become dp = hbar / (2dx) = hbar / (20.01) = 5.27x10^-33 kg m/s. Since the momentum uncertainty is also related to the velocity uncertainty through dp = mdv, then dv = dp/m, so that for a 10 kg mass we get dv = hbar / (2 x 0.01m x 10 kg) = 5.27x10^-34 m/s. Then for the velocity uncertainty to be noticeable, it would have to have a value that exceeds the velocity we are examining, so equal to or greater than 10 m/s so that

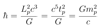
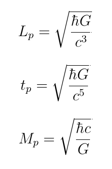
This is an enormous value compared to the present value which was cited earlier. It is also worth noting that the Planck’s constant is linked to gravity through some fundamental units in terms of the Gravitational constant G and the speed of light c. Using the reduced Planck constant, this leads to the definitions of the smallest scales known as the Planck length Lp, Planck time tp and Planck mass Mp as follows

Speculating, if it was at all possible to change the speed of light, the gravitational constant, or the Planck time, Planck length or Planck mass, even for an instant, then this would give rise to a different value of the Planck constant, i.e.

Alternatively, if we wanted to equate these terms with respect to the gravitational constant, we would find the following forms

The gravitational constant has the current value of G = 6.674x10^11 m^3/kgs^2. If we assumed the reduced Planck mass calculated above as a macroscopic value at hbar = 0.2 Js, and kept the speed of light the same and the Planck mass the same this would lead to a required value for the gravitational constant of G = 1.266x10^23 m^3/kgs^2, which seems absurd but that is what we compute. Alternatively, to have the same effect the Planck mass would have to be increased to a value of 947,833,923 kg or approximately 16 orders of magnitude higher than its current value.

These extreme orders of magnitude changes suggest that if the orbs were operating in a quantum state but on a macroscopic level, then they would likely be using some other mechanism that what is described above. To my mind, it suggests a revision to our spatial scale in terms of our fundamental definitions of the Planck scale, and this may be related to higher dimensions, perhaps where the Planck values are distributed over several dimensions, so that the artificial manipulation of one is made easier than suggested by the above calculations.

To perform manipulations of the sort described above, this would likely suggest some understanding of a quantum description of gravity, since it would require an ability to dial down the rest mass of the object, where all relativistic limitations to flight are removed. In relativity, as an object with mass undergoes relativistic speed, it will also undergo a relativistic mass increase, as well as time dilation and length contraction. But if you can dial down the rest mass to a zero value, then the object will perform like a photon. It will not undergo time dilation or length contraction, and its position will effectively be spread out since it is everywhere and everywhen simultaneously.

How this would be achieved is anyone’s guess but would require an on-board technology that likely has access to the neutral quantum vacuum and possibly hyper dimensions of space. One idea was published by a friend on mine years ago, Dr Richard Obousy. In his doctoral thesis [“Investigation into Compactified Dimensions: Casimir Energies and Phenomenological Aspects”, Baylor University, 2008] he proposed accessing the quantum vacuum and increasing the energy density of one dimension of space, so that the other dimensions would be inflated. This remains the only proposal I am aware of for how to produce something like a warp bubble type effect and is an original idea; although I am out of date with the current literature. It relied on a connection between Casimir Energy, compact extra dimensions of space and the Cosmological Constant, where the constant was equated to the vacuum energy density:

The assertion is that general relativity shows that within the physics of a compactified space, this effects the expansion rate of a non-compact space, so that a fixed compactification radius for one dimension can result in the expansion of the three-volume due to Casimir effects. That is to say the act of contracting a dimension of space is able to inflate the remaining dimensions. Obousy further calculated that for the local Cosmological constant this is characterised by 10^42 J/m^3, and the amount of energy required to be injected locally, assuming a 10 cubic metre sphere, to inflate a dimension would be given by

Alternatively, if we were to assume a 1 m cubic sphere (like the orbs discussed in this article) then energy requirements would still be 10^42 J. Clearly such a large amount of energy is beyond our current civilization technological capability. Indeed, it is unlikely that the orbs are also accessing the level of energy and might suggest they are using a mechanism based on physics which is currently unknown to us

Since these objects may be able to operate in this manner, this may imply they are unpiloted and autonomous drones of some form but manifest of high intelligence. This would suggest they operate under different conditions to other objects that have been observed, such as saucers, which may be piloted and still capable of hypersonic velocities. Since several observers have seen the orbs being deployed from saucers, this would support the idea that they are some forms of sub-probe deployed by a piloted craft.

In summary, we do not know the origin or the nature of these orb-like objects. But it is the speculation of this author that they are likely an intelligence and consciously aware technology. They are also likely not from our world, and one of the considerations for this is the extraterretrial hypothesis. In addition, they likely have a function in being here and the different types of orbs that have been seen likely relates to the different functions of operability. Understanding this, may give significant insight into their mission and purpose.

To derive a complete model, similar to the one suggested above, a comprehensive survey would be required of all orb observations and their characteristic physics properties to include brightness, luminosity, colour, size, speed and in the context of the background conditions. This data could then be assembled into a form of ‘taxonomy’ (for want of a better phrase) and then the relationship between each object defined. This is a suggested project that others with more time may wish to undertake.

The Rule of Three in UAP Orbs

In the previous articles we have discussed UAP orbs, that is one of the objects associated with Unidentified Anomalous Phenomenon or UAPs. An unusual characteristic of the observations surrounding these objects is that they often appear in a group of three. Although on many occasions they are also seen on their own as a single orb or as a part of a giant cluster of ten or more. A single object could still be a part of a larger group, they are just split off to perform a specific mission. Similarly, as a larger cluster, they might still be divided into multiple smaller groups of three when the need arises. It is constructive to consider what could be the reason for this on average clustering around a number of 3 objects. Although we preface this article with this is pure speculation on my part. There are several reasons we might consider.

Safety in Numbers: In the animal kingdom, we know that animals will tend to gather in large groups to avoid predators, or so that on the event of a predator attacking, the probability that any individual animal will be the victim is statistically minimised. However, there is very little difference between 1 and 3 for this to be a factor here, especially in the case of an advanced Extraterrestrial Intelligence (ETI) for which we might suppose this is their nature, and for which they are unlikely to have any predators of their own. Although we might speculate that if any individual object got into any difficulty, then the other two objects could come to its assistance as a back-up. For example, if an orb lost its ability to take flight, one orb on its own may be insufficient to lift it to safety, but two orbs may be sufficient. Therefore, we may be looking at a form of engineering redundancy to ensure success of mission or recovery of objects - so that no orbs are left behind.

Forward Operating Stealth: In the military special forces, a Battalion will often use small teams of people to infiltrate an enemy territory or to go ahead of the main battle force as a forward reconnaissance. This team is typically around four in number. However, given that the orbs are often so bright, they do not appear to operate in a highly clandestine way, but on the contrary quite out in the open. Being seen by us does not appear to be a major concern for them, and on occasions they seem to have deliberately aimed for that goal.

Full Spectrum Coverage: Is it possible that each orb has a specific spectrum of capability in operation or performance, but an individual orb does not cover all capabilities. Yet between three of them they would cover all the capabilities. To use an analogy, we might consider the primary colours of Red, Blue and Yellow, from which all other colours can be constructed. Some similar principle could be operating here, and it is only when the individual orbs mix or integrate their capabilities that a maximum performance utility can be achieved. Such a capability might be needed in a defensive scenario for example.

Stability of Manoeuvres: It is well known that a tripod is one of the most stable structures. Is it possible that moving within a gravitational field such as the Earth, that under certain manoeuvres, a stability of flight is achieved when three orbs are able to joined together into a triangular configuration. Think of how on an aircraft will have a requirement to manage the stability in the three axis of Pitch, Roll and Yaw for example. Also, in a classical description of physics, from both Newton and Einstein’s Generation Relativity theory, there are three spatial dimensions of length, width, height or x, y, z, and so this may be relevant. This would not be the case however when we consider higher dimensional field theories such as string theory, which proposes there may be up to eleven dimensions of space.

Natural Optimisation: However, the orbs form, if they are not simple mechanical machines but more analogous to organisms or living structures, then producing groups of three may be a manifestation of this process. In plants, clovers will have three leaves on average as a standard arrangement for capturing sunlight. In nuclear fission, an atom will produce on average two fragment atoms of lower atomic mass. If there is such a thing as a larger source orb that produces smaller orbs, then 3 may be the optimum that results from this process. The physics principles upon which the orbs are based would determine this number.

Parallel Processing: The writer Arthur C Clarke has speculated in his 1968 book Profiles of the Future, that the purpose of life is the processing of information. If we assumed that the orbs were some fundamental components of the structure of reality (such as in a simulation universe) then the orbs may be equivalent to processing nodes, that float around the world recording information. In our own civilization, we have constructed large supercomputers for the purpose of calculating large mathematical problems, but we have found those systems are more efficient and faster if we can parallel process the information, instead of using a series processing system. Could the orbs be leaning on each computationally as a means for processing the information they are gathering more efficiently. Also within the paradigm of a simulated universe constructs, we might view these orbs as the equivalent of repair wardens that maintain and manage reality so that we may inhabit it.

Forces of Nature: We tend to think that in physics there are four forces (if we neglect the Higgs force) and this is gravity, the strong nuclear force, the weak nuclear force and electromagnetism. However, gravity operates on a much larger scale compared to the others and this is why it is described using General Relativity. Whilst the electromagnetic force operates over large distances (infinite) the two nuclear forces are short range. So, three objects could be related to control within these principal three forces. In summary, whist this is also all speculation, the presence of three orbs may be related to the deeper symmetries in the fundamental structure of our universe and the best way to navigate between them.

These are all interesting ideas which can be considered in more detail and then tested against the many observations around the world to see which ones can be ruled out. This then might lead to a good explanation for the rule of three. However, there is another possibility that we might consider and this one intrigues me the most.

Generation Physics: In the field of physics, theories and experiments have demonstrated that there are two main types of particles in the standard model, called Fermions (matter particles like quarks and leptons) and Bosons (force carrying particles like photons and gluons). Yet, the Fermion particles are further divided into three generations of matter. The first generation is up quark, down quark, electron, electron neutrino. The second generation is charm quark, strange quark, muon, muon neutrino. The third generation is top quark, bottom quark, tau, tau neutrino. It is not fully understood why the Fermions have three generations of particles, but there is a difference in mass between them. The first generation forms more stable matter (like protons, neutrons). The second and third generation are heavier and unstable and decay into the lighter first generation particles. It has been speculated that the heavier particles likely existed during the high energy phases of the early universe and may have played some vital role in its early evolution. According to theoretical physicists, the standard model and its associated equations seem complete and consistent under the three family of particles paradigm. There are also reasons in physics to suggest that three generations may correspond to deeper symmetries related to quantum numbers.

Is it possible that orbs exist in some natural state but can for a brief period take on other much more complex states, but then eventually decay back to the original state, the same way that the second and third generation of particles in the standard model eventually decay back to the first generation. In other words, the orbs may only be able to hold a certain configuration for so long before they become unstable and they decay back to a different structure.

One idea that intrigues me is a proposal from the American mathematician Eric Weinstein that the third generation of matter may be an imposter. This is referred to as the Weinstein Impostor Assertion and is a component of his proposed Geometric Unity theory. His suggestion is that under certain high energy conditions (more like those in the early universe) that the third generation might unify with other (so far unknown) particles, which would indicate a different role or origin compared to the first and second generation of particles. I do not have an opinion either way on whether this idea is plausible.

The reason why I think all this discussion about first, second and third generations of matter may be important, is the apparent ability of particles to take on complex forms under the right physics conditions, but those forms are unstable and they decay back to a more stable form. Could it be that the three orbs so often observed are manifest of a complex and higher energy form, but eventually they must return back to their point of origin, where they lose their complex configurations and take on a lower energy state.

This is not completely unreasonable, given that people have reported seeing orbs spitting out other orbs, which is perhaps a process of fragmentation of a larger object. Yet this fragmentation may only be temporary, and they eventually re-combine to form the original stable structure. Provided the orbs are not just mechanical engineering machines, but equivalent to some intelligent living system, this would be my current preferred explanation for the rule of three.

For me personally this explanation would fit since when I have seen a cluster of three at night they were bright white lights. But when I saw an individual orb at night it was yellow/golden and less bright. This implied a different level of energy or excitement.

To take this idea further, some have speculated that the orbs are not just intelligent, but manifest of an entity with a consciousness. An individual orb may have the appearance of an individual consciousness but when it recombines with its original form (3 goes to 1) that individual consciousness may dissolve into a single form. An analogy might be the way people who have undergone a near death experience or using psychedelics report dissolution of ego. I would tend to think of the way that groups of solid ice cube dissolves back into liquid within a glass of water. In which case some form of phase transition may be involved.

A further point that we should mention, but for which I have no evidence, is the claim by many of observing flying discs from which the orbs are often released. If this was the case, then we may have it backwards. Historically, people have been more excited about the possibility of seeing flying discs, but these may simply be the cargo carries and instead what is important is the orbs once released. The single orb may then be the stable state, for which they are contained on the carrying vessel, prior to being released in an excited form to perform whatever function they have. Again, all speculation, but food for thought.

All the above are just ideas, and I have only put this list together since it seems to be a question others are asking - why the rule of 3 on average? - and so I thought these ideas which I have listed may spark some thinking in others as to the reasons. My own preference, would tend towards an explanation that sees orbs exist in a highly complex and perhaps higher energy state for a short time, but then they must decay back to a simpler lower energy state later in which they lose their individual form. More observations would help to clarify these ideas and I also do not have a full picture of the literature.

Extraterrestrial or Hyperdimensional Hypothesis

Recently, the nuclear physicist and writer Stanton Friedman passed away. He was a prolific author of books on the unidentified flying object phenomenon and gave hundreds of lectures. His belief, was that alien visitations were true and he was a proponent of the ‘nuts and bolts’ perspective, in that alien technology is here today and governments were aware of this. This is known as the Extraterrestrial hypothesis, and it makes the claim that observation of craft in the sky or claims of visitations and abductions, are best explained by the acceptance that a non-human intelligence has travelled here on an alien starship purely to visit the planet.

Many follow his view point and he leaves behind a trail of dedicated researchers who also subscribe to this perspective. The idea that aliens are visiting our planet from another planet around another star, is attractive to many, and some want it to be true. This could be because they see it as a possible solution to the problems of our civilization and our inability to solve them ourselves, or it could just be because the idea is cool. That said, not all subscribe to this opinion.

The French/American researcher Jacques Vallee takes a radically different perspective, despite the fact that early on in his career he had supported the extraterrestrial hypothesis. But his views began to change, and a factor in this was the absurdly large number of visitation cases being reported, which made the Earth and its people appear to be like the equivalent of the local interstellar zoo for travelling alien tourists.

Instead, Vallee advocated for a different idea, known as the interdimensional hypothesis. This holds the view that visitations originate from other realities and dimensions that coexist alongside our own reality, perhaps in a multiverse of universes. In particular, the fact that our history is littered with ideas of mythological or supernatural creatures (goblins, elves, giants, dwarfs) might suggest that we are in fact witnessing a psychological phenomenon that has been with us for as long as human beings have existed.

Vallee makes some chief objections to the Extraterrestrial hypothesis, which were first laid out in his paper titled “Five Arguments Against the Extraterrestrial Origin of Unidentified Flying Objects” (Journal of Scientific Exploration, 1990). It is worth listing these arguments in full and to make some counter-point comments as a devil’s advocate argument:

  1. That unexplained close encounters are far more numerous than required for any physical survey of the Earth; Although this does not take into account the vast number of planets around other stars that could be inhabited. If the galaxy is teaming with life, then the numbers of reports would correlate with a crowded galaxy. That said, it seems unlikely that many different species would be visiting Earth independent of each other, without interaction, communication and potential conflict among themselves over say visitation rights, for which we would then become aware of.

  2. That humanoid body structure of the claimed aliens is not likely to have originated on another planet and is not biologically adapted to space travel; It could be that a species downloads its consciousness into a biological form that is grown at the destination, in an attempt to increase the interaction and encounter potential, by making efforts to appear like humans. Certainly it is difficult to see how a life-form that had evolved on another planet could easily integrate into our micro-biome not having evolved here without significant genetic engineering modifications or some layer of skin that is equivalent to a space suit.

  3. That the reported behaviours in many of the abduction reports contradicts the hypothesis of genetic or scientific experimentation on humans by an advanced intelligence. This would be true, except for the situation where visiting aliens had a form or anatomy completely different to our (as different as say a jelly fish to us) and they had no idea how we operated because we were so alien to them. However, if the aliens are ‘advanced intelligence’ and have figured out star travel, then this implies they should easily figure out our anatomy without the need for crude experimentation techniques.

  4. That the extension of the phenomenon over all recorded human history suggests that it is not a contemporary phenomenon. Unless one considered that all past observations and reports, pre-dating the development of modern industrialised society, were just stories due to the lack of education, informed opinion and the ability to rationally comprehend observations and also record them reliably. But then how do we explain that not only did the reports continue, but they increased? Yet, is it possible we are looking at a long-term project that involves the manipulation of humanity through religious inspiration?

  5. That the apparent ability of unidentified flying objects to manipulate space and time might suggest radically different and richer alternatives. The reported flight capabilities of such craft certainly go beyond what the existing or projected aerospace capabilities of our modern technological societies can achieve. And there is sufficient data, observations from pilots and radar measurements from radar stations, to clearly demonstrate that objects are being observed. The question is, are people seeing what they really think they are seeing and is what they see external to themselves or an image generated internally to the brain?

Whatever ones views are on the Extraterrestrial or Interdimensional hypothesis, it is clear that from the vast number of reports annually across the globe that some strange phenomena is occurring. Perhaps none of these hypothesis are true, but instead we are witnessing a psychological phenomenon which results in an as yet unknown symptom of our brain tissues exposure to certain technologies. We certainly live in a technological world, and electromagnetic fields are moving through the airspace almost as a constant background sea upon which our consciousness now swims. Who is to say that this isn’t having an effect on our brain, causing delusions, hallucinations or merely manifesting our best fantasies or worst nightmares but as a waking dream state?

It is clear however that something is going on, and it is wrong for governments to take the attitude they do, which tends to be dismissive of peoples claims. If this is not visitations by aliens from other stars or from other dimensions, then we could be looking at a global phenomenon of a form of mania, in which case this should also be of interest to governments, who are charged with looking out for the well-being of their populations.

Perhaps an indication for what is occurring may be given by the ultra-high secrecy with the way that governments have handled the UFO topic, as provided by hundreds of documents which are clear evidence of false statements and hidden truths. This suggests that they do know things that they are not sharing with the general public. One thing is for sure, the conversation is not likely to end any time soon and the reported sightings will surely continue into the future.

Top image credit, a clip from ‘Earth versus the Flying Saucers’ movie, 1956 (Columbia Pictures)

Originally posted on IRC web site and moved here: 19th September 2019

Stellar Scale Engineering

The concept of stellar engineering refers to the deliberate orchestration of artificial changes to a star or other similar astronomical object for the purposes of engineering a useful construction, power source or some other function. Its minor cousin, planetary engineering (the engineering of planets) has been nicely discussed by others [1].

In 1964 the Soviet astronomer Nikolai Kardashev proposed [2] a scale for measuring the output of interstellar civilizations in the Cosmos that can be used for long distance communications. This has come to be known as the ‘Kardashev scale’, and three types of civilization were defined.

A Type I civilization has the capacity to store all of the energy which reaches a home place from its parent star. For the Earth this is of order ~10^17 Watts, when the reality is that today our power consumption for the present civilization is around ~10^12 Watts or equivalent to an energy consumption of ~10^19 erg/second (where 1 erg is equal to 10^-7 J of energy).

A Type II civilization has the capacity to harness the total energy of its parent star. The total power output of the Sun is around ~10^26 Watts or equivalent to ~10^33 erg/second. The proposed way by which this can be achieved is through a device known as a ‘Dyson-Stapledon sphere’, more on this below.

A Type III civilization has the capacity to control energy on the scale of the entire galaxy. The total power output of the Milky Way, defined as its luminosity, is around ~10^37 Watts or equivalent to an energy consumption of around ~10^44 erg/second.

Further work by the American astronomer Carl Sagan in 1973 proposed [3] a method of extrapolating and interpolating intermediate values, on the assumption that there was a Type 0 civilization that would control around 1 MW of power. Using this scale, it is possible to show that human civilisation on Earth has an average world power consumption of around ~10^12 W, which means we have a Kardashev value of around 0.7. Many other versions of the Kardashev scale have now been proposed, but they all largely agree we are far from the masters of our own local energy sources as a young species.

The ability to engineer astrophysical sources, such as stars, is an interesting idea which we could equally expect a more advanced civilization to have attempted. It is useful to briefly discuss some of the structures that could be engineered in the universe by those other species or by a future human kind.

Dyson-Stapledon Spheres: These objects were first suggested by the British philosopher Olaf Stapledon in his 1937 novel Star Maker [4]. The idea was later picked up and refined as a thought experiment by the physicist Freeman Dyson in 1960 [5] who reasoned that such a structure would be a result of the escalating energy needs of a technological civilization. Such a sphere, or set of orbiting structures would completely encompass a star and capture all or the majority of its power output. It would be uniquely distinguished by an infra-red emission spectrum which would make such structures detectable to long distance observations.

One has to ask however, whether such an advanced civilization with escalating energy needs would instead choose to occupy other star systems by interstellar diffusion, rather than huddling around the light of one lone object? More credible versions of this idea known as a Dyson Swarm consists of many large number of independent constructions orbiting in a dense formation around a star. Another variant is a Ring World, a hypothetical orbiting structure around a star, but rather than a complete sphere, it is instead a ring. The idea was popularised in a 1970 science fiction novel by Larry Niven [6].

Matrioska Brains: This is another type of hypothetical that is really an extension of the Dyson-Stapledon sphere, but instead of power output purely for energy conversion the output is used to drive massive computational capacity. The idea was conceived by Robert Bradbury and the concept takes its name from Russian Matrioshka dolls, since the analogy is adopted so that there are the equivalent of nested spheres within each other, each built around a star, and drawing all of its power output. The inner shell would have the temperature of the outer stellar atmosphere and the outer shell would be so cool as to be equivalent to the temperature of space. In theory, such a large computing architecture could be full artificial intelligence, or create full artificially simulated universes for people to exist in. The Matrioshka brain concept looks even more complicated that the Dyson-Stapledon sphere.

Shkadov Thruster: This is the term used to describe a type of megastructure which is able to use a stars radiation output to create usable energy, such as for the purpose of producing thrust and therefore actually accelerating the star through interstellar space, and any object orbiting it, in any direction. Several variants or classes of stellar engines have been proposed. It involves the use of a large mirror or light sail to balance gravitational attraction and radiation pressure outwards from the star, such that the net pressure of the star would be asymmetrical and the excess radiation in one direction would act as net thrust to move the star from its original position. Any planetary system that is in orbit around the star, would also be dragged through space, and so the entire Stellar System could in principle be moved. This author used a similar idea to a Shkadov thruster in a short science fiction story titled ‘The World Movers’ published in 2015, although the thrust generation was also originated from negative energy density gravitational fields [7].

All of the above megastructures are different types of Stellar Engines that could in theory be constructed by advanced extraterrestrial civilizations or by future human kind. This presents interesting observational opportunities, in looking for either ‘live’ stellar engines or ‘dead’ stellar engines, the remnants of a once forgotten civilization.

There has been several postulated sightings of potential stellar engines by the Kepler Space Telescope. This includes the objects KIC 8462852 and EPIC 204278916, but the analysis is so far inconclusive. The former, known as Tabby’s Star is an F-type main sequence star located in the Cygnus constellation at a distance of around 1,276 Light Years. Astronomical studies of changes in the stars brightness could not be attributed to intrinsic variability and one of the hypothesis being proposed to explain the unusual blocking of the light emission is a stellar engine.

We do not yet know whether advanced extraterrestrial civilizations exist, let alone have built large megastructures, but certainly observational programs that seek such structures out, or eliminate their possibility, will add to our knowledge of life in the universe. It would seem that in our pursuit of enquiry as to the various manifestations of existence, our most powerful tool is that of the imagination, which enables us to see alternate futures that may or may not exist, and therefore help to direct our research programs. Indeed, this may be the most important service that the literature of science fiction has given left us as its legacy.

[1] M. J. Fogg, Engineering Planetary Environments, Society of Automotive Engineers, 1995.

[2] N. Kardashev, Transmission of Information by Extraterrestrial Civilizations, Soviet Astronomy, 8, 217, 1964.

[3] C. Sagan, Cosmic Connection: An Extraterestrial Perspective, 1973.

[4] O. Stapledon, Star Maker, 1937

[5] F. Dyson, Search for Artificial Stellar Sources of Infrared Radiation, Science, 131, 3434, pp.1667-1668, 1960.

[6] L. Niven, RingWorld, Ballantine Books, 1970.

[7] K. F. Long, The World Movers, Published in Visionary, A Science Fiction Anthology in the Spirit of the British Interplanetary Society, BIS Publication, 2013.

Originally posted on IRC web site and moved here: 21st August 2019

Interpreting the Aliens

Quite a few years ago now I worked on a project with the U.S military. This was a dozen officers mostly of rank Captain and Major who had the task of developing a strategic contingency plan for a potential ET invasion. To be clear, this was a scenario training exercise and did not reflect an actual fear of a real threat to humanity. It was a lot of fun to see how these outstanding officers grappled with the various issues and assessed the limited data they were given in the scenario for events unfolding in the distant cosmos that pointed towards artificial megastructure engineering that was headed our way.

Since they were members of the military, they were very much threat oriented and this indeed was a part of their brief. To identify the threat and develop a mitigation strategy for the purpose of defence or even elimination of the threat. But this bothered me a little, since there was insufficient information to lead to a firm conclusion that a threat was imminent and I wanted to encourage the officers to think more out of the box in terms of questioning the chain of command instructions. In the military this is not really permissible of course and a chain of command is important for minimisation of errors, but given the gravity of the subject matter I wanted to encourage them to see a bigger picture and to develop an ability to challenge authority when it is appropriate.

Around the same time, a film had just came out titled ‘Arrival’ which was based on the short text ‘Story of Your Life’ written by Ted Chiang. In this story objects arrive on Earth and it is the task of the scientists to establish a line of communications with them - a species referred to as the heptapods. It was an excellent film and I have seen it several times since.

But one of the main issues that the story centres around is a misinterpretation of the intended message. The scientists believe that the heptapods are communicating “offer weapon”, which is then also interpreted by China to mean ‘use weapon’, when in fact the species is communicating the word ‘offer tool’ or ‘offer technology’. They simply want to establish a trading relationship with our species.

Knowing about this misinterpretation in the film, I decided to have a bit of fun with the excellent officers. I told them that in this hypothetical scenario a message had been received from one of the distant ET craft and that it was symbolic in nature, constructed from a group of Hieroglyphic like symbols.

I asked them in groups of three to see if they could work out what the message said. I gave them a set of 7 picture cards and firstly they had to put them into the right order. If you want to have a go at this yourself, then don’t scroll down yet since the answer is at the bottom of this post.

The officers split into their respective groups and they were given half an hour or so to come to a consensus about the message and also to put the cards into the right order. The chosen symbols were actually borrowed from ancient history on Earth and I used a combination of Egyptian Hieroglyphics and proto-Cuneiform since I had familiarity with both languages. I wanted to see how they would interpret the images.

A historical example in the history of Earth where a miscommunication occurred leading to tragic consequences was the Voyage of Captain James Cook who in the 1700s had landed on the coast of New Zealands North Island. Pulling alongside the East side of the Turangunui river near present day Gisborne he encountered the Maori inhabitants. But a leader from this tribe was immediately shot and killed whilst they were undertaking a ceremonial challenge to greet the new arrivals. Cook and his crew had misinterpreted this as a hostile gesture of war.

The military officers correctly put the cards into the right order as should be expected from what was highly intelligent individuals. But next came the issue of translating the message. There was a variation in the answers and this is to be expected since the challenge was somewhat ambiguous but they really enjoyed the task having spent the prior few days immersed in physics and engineering lectures so this was a welcome distraction. It was so long ago now that I don’t recall all of the group answers but for sure there was a variation.

The truth is that there was no right or wrong answer, since I had made up the message, but I wanted to leave in their minds a clear impression that (1) instructions for the annihilation of another should always be questioned when the consequences are so large (2) that messages can be misinterpreted and it was important to develop a critical thinking capacity and come to your own conclusion rather than just blindly follow the orders of another if its unethical.

This is especially important when we live in a world with an incompetent leadership class across the political spectrum who neither serve the interests of the people who elect them, or make sensible decisions that lead to the improvement of society or the global community. Indeed, I would argue it’s even worse than that, in that we, the people of planet Earth, are deliberately deceived by every government of every country in the world on a regular basis. This points towards a profound problem in the human culture and the models we have adopted for how we elect our leadership class.

Given this, if ET was to come and visit us, we should be very careful about who we listen to and what information is communicated to us and therefore what are the motivations? Indeed, even on Earth one has to wonder in a geopolitical context what one nation is saying that is misinterpreted by another nation and how this can lead to dramatic consequences for everyone. Actions matter, but words matter too. Yet leaders across the world of all political persuasion are not careful with their words, but in fact they practice the opposite. We appear to live in a time where nation state diplomacy for the settling of disputes and civil discourse as a means for solving arguments is all but at an end. I worry about that. I worry about how we misinterpret each other.

When I was a child we learned the phrase “sticks and stones can break my bones but words can never hurt me”. But in the real world of nation state rivalry words can lead to chemical, biological or thermonuclear Armageddon. Words matter a lot!

So what did you come up with? My proposed answer is shown below. Remember this was just a bit of fun and I hope you enjoyed the challenge too.

Message read from Right to Left. The actual message intended was a request to meet in our system (star) at the first light (sun rise) and walk (foot) in the place where the mountains are (mountain), then to greet each other and in exchange a gift of precious metals (jewels) and tools (arrow) would be given to the humans. In return the aliens requested permission to mine (plough) hydrogen fuel (water) from the Sun (star) upon which their starship (boomerang) would then move off on a new trajectory away from our solar system (star).

Image credit at top: from the movie ‘Arrival’.

Originally posted on IRC web site and moved here: 15th March 2024

The Physics of UAP Orbs

In a recent post I discussed the possible origin of UAP orbs; these are anomalous objects seen by observers (including myself) of unknown origin which also appear, in some reported observations, to not meet any of our current definitions for aeronautical or astronautical machines. Here I explore some of the unusual properties or orbs, from a physics and engineering perspective, that may give some indications of their nature. Before you read the material below, I want to be clear that I do not have any special insights into the nature of these objects and neither do I claim a strong preference. Instead, this article should be read as an exploration of some of the issues as a way of painting a picture for how we might begin to think differently about them and study them as a genuine field of scientific enquiry. It is hoped that this will prompt others to build on some of the discussions below and put forward perhaps more viable ways of examining the subject matter.

Observations of the Phenomenon

I wish to iterate that this analysis is performed under the assumption that they are not machines constructed by humans and operate under some degree of high intelligence. That said, given the capacity for government agencies to manipulate public opinion for the purposes of political convenience, we do also emphasise that such a possibility of human made constructions cannot be ruled out at this time. Yet, proceeding under the stated assumption. This will be based largely on my personal observations but including an extension to the observations of other observers where useful images were collected.

There are two types of objects that I have personally seen. There are the orange/yellow orbs at night which have always been on their own, and I have also seen them as white orbs clustered in groups of three. Then there are the white/grey metallic looking spheres during the day for which I always only saw one on its own. They may be the same object, but I do not know that. Yet, since they always seem to come from/to the direction of the Sea, this would not be unreasonable and for the purpose of the analysis shown here I do make this assumption, although I also acknowledge the possibility that such an assumption may be erroneous and there is the possibility of conflating two separate phenomenon. We will refer to this assumption as an orb equivalence principle.

Below is an artificial intelligence generated illustration of the sort of object I have personally seen in the daytime. Approximately 3 - 6 ft in diameter, grey/white in colour, possibly metallic but also there is the possibility of some composite material or other. Note that a black band was observed around the outside equator which possibly has some engineering function or reveals something about how two hemispherical shells were integrated. I saw this object on three separate occasions, twice within several hundred feet of me and on the third occasion at perhaps half a mile’s distance. On each occasion I failed to get a photograph of the object or to look at it through binoculars since when I attempted to do so, it disappeared and there was no trace of where it had gone. Whilst speculative, it felt to me that the object was aware I had noticed it and only then vanished, and this might indicate some observer dependence to the phenomenon. I also felt that it wanted me to see it, but only briefly, and not sufficiently long to over observe it; merely to get my attention. Whilst I did not observe these characteristics, it could be argued that this rapid vanishing may have been indicative of either an advanced cloaking capability or instantaneous acceleration so that the object went from my visibility. Whilst the former may still be within the capability of our existing technological capability, the latter would not be and may imply a none-terrestrial origin.

Artificial Intelligence generated illustration of the object seen during the daytime by the author of three separate occasions in an observing time lasting seconds in duration each.

In the nighttime, I observed three white orb’s going on and off in sequence and then re-appearing in a different position. I then observed them entering a large town from the direction of the Sea and floating among the streets and buildings in an ominous manner that appeared as though they were searching for something. Although I did take photographs, they are not of great quality, and it was a windy night. But the image below for example clearly shows one of the orbs in two photographs taken seconds apart in which you can clearly see it has moved position. Given the similarity, the light at the bottom right may also have been one of the objects but I do not recall. I also have other photos of the objects, but I will not show them currently since for personal reasons I do not want to reveal the location of the events.

Photographs taken by the author at 01:47 hours, where one of the three orbs is seen entering a town, clearly visible to the observer but hidden among the street lights.

The observation of three white orbs occurred on the 3rd October 2020. The observations of the white/grey spheres during the daytime occurred on 10th September 2023, 14th October 2023 and 26th March 2024. The image below shown an artificial intelligence generated image of what the white orbs might look like at night if viewed close.

Artificial Intelligence generated image of white orbs at night which were observed as a cluster of three for around two hours duration in the early hours of the morning by the author.

In addition to these, I have for many years been seeing an orange orb, typically golden/yellow/orange in colour that floats above me moving at moderate speeds. I had largely dismissed what I was seeing as optical diffraction effects since when I checked on some of those occasions the passing corresponded with a near flyover of the International Space Station. Yet as an optical effect it was very weird since the orbs appeared to be only hundreds of feet from the ground and had the appearance of a floating kind of buoyancy to them. Since they were coming off the Ocean, I do not think they would have been lanterns. Although I had dismissed them in the past, I now pay them more attention since the observations seen from 2020 but also from discussions with colleagues it is clear what I have been seeing is not the ISS as I had thought. Yet, I remain open minded to explanations here.

Artificial Intelligence generated image of yellow/golden orbs at night seen by the author on many occasions over years but potentially over several decades.

On top of this, I have lived in three separate locations since 1993 and although I had never given it any attention, I am quite sure I have been seeing this same orange orb for all those years in those three different locations. Although I had dismissed it previously, I am now questioning if what I had been seeing was of a more profound nature but largely neglected by me. I have seen them so many times that I did not take many photos but in recent years have tried to make an attempt. Below is one such sequence of the same orb object in flight.

Actual photographs of an orb observed on 1st January 2021 taken at approximately 1 minute apart by the author. The same object has been seen on many occasions over several years.

There is another aspect to the phenomenon that I would like to mention for which I feel may be important. When I have seen these objects I have not felt startled, or amazed, or jumping with excitement, the way that you may expect someone to do in encountering such a strange thing - especially for a curious scientist. Instead, I have found myself to be rather nonchalant, and on hindsight I find this a little puzzling. An analogy I might use is that of someone discovering they had a shadow for the first time, but then clearly recognising it as as the sort of shadow they have seen many times before and are not therefore surprised. It is almost as if these objects are ever present, at the periphery of our vision and a permanent part of the construction of reality, and for some reason, we do not react to them - the same way that Gorillas in the African jungle may not react to a zoologist sitting in the bush observing them, they just carry on as normal. Whilst a lot of the discussion over orbs focusses on the technological, I feel that this particular component of the experience may give some important insight into the phenomenon.

Given all the above, despite my training in scientific scepticism, it has forced me to reconsider the nature of what I have been seeing and whether all the apparent UAP sightings by me are also related to what other people have been reporting around the world and for which I have for so long been neglecting as the fantasies of the fringe. What has forced this re-evaluation was likely seeing the three white orbs at night and then the three observations of orbs during the daytime which was highly peculiar to me, and then after this came a reconsideration for the orange orbs I have seen for years.

I am currently reading the book The Invisible College by Jacques Vallee, and in this book he states: “Instead of asking, like the physicist, “Does the phenomenon interact with measurable quantities of its environment?…we will review what is experienced by the witnesses, we will observe what they do as a result of these experiences…”

He then proposes that the phenomenon is a kind of control system on the progress of humanity, analogous to a thermostat on the temperature of a house. Perhaps we might speculate, that if this is the case, then the moments in time in which humanity may be going off the rails, we might expect to see an enhancement of this phenomenon. The year 2024 has been important for two reasons (1) the apparent approach of nation states towards a global third world war that may also go thermonuclear (2) the significant increase in ‘drone’ sightings, particularly on the East Coast of the United States, but also in other places around the world, to include Japan and the United Kingdom.

The two images below show similar spherical objects to what I have seen, seen in San Diego and in Japan for example. Although these are different to what I have seen, which could be a reflection of either different classes of objects, cultural bias of the observers, or the uncertainties associated with subjective observations.

Objects seen in San Diego in 2014 (left) and Japan (right)

For an even more dramatic collection of still photographs, see the gallery below taken across the world spanning from 1999 to 2023. These stills were largely sourced from the collection kindly provided by Jenined and the full video can be seen <here>. Seeing this large collection of photographs of orb shaped objects, how can anyone deny that something strange is most definitely going on in our skies, and possibly also in our seas and space?

From this author’s perspective, putting aside what is measurable from a scientific standpoint, in terms of what I did because of these experiences; I started to take it seriously. As someone who has advocated for advancements in deep space exploration and advanced propulsion theory, since around 2007 or so, it is difficult not to reflect on whether this has been a part of a deliberate strategy, where getting my attention was seen as constructive to a large unseen strategy. This is not to say that I am any more important than any of the other thousands of people that have seen similar (or more exotic) phenomenon, but I can say at least that I am a person of credibility in terms of aeronautical, astronautical and astrophysical education, and perhaps my voice adds some weight to those of others who make similar claims.

A particular way that I responded to what I saw as an integration of issues (1) and (2) above was in the drafting of a letter to the leaders of the United Nations Security Council <Read Here>. How naïve I must have been to think I would get any meaningful response or have any influence. Yet, compelled to write it I felt and did. I also felt compelled to support other political activities, where a case was made towards peace, although I acknowledge this could be driven out of an anxiety for a pending global war. I have also felt compelled to come forward and make contact with people in the UAP community to share that I have also been experiencing the ‘phenomenon’. This has included these public posts online, which for a professional scientist is a considerable risk to my reputation. Yet I believe in the pursuit of truth as the highest quest of a scholar and so proceed I did. I would now like to turn my attention to the objects themselves and to provide for some first order analysis of what we are looking at from a physics and engineering perspective.

Analysis of the Phenomenon

Here is a basic breakdown of the observed characteristics of orbs, as taken from my own personal experiences but also considering the observations of others:

  • Size: 1 - 6 ft

  • Elevation: Sea Level to Orbit

  • Speed: Static to Hypersonic

  • Shape: Spherical to Elliptical

  • Brightness: Dull to Luminous

  • Colour: White, Orange, Yellow, Blue, Red, Grey…..

Although this author would like to state that he has never seen any hypersonic flight, instantaneous acceleration or flight to orbit as reported by others. This therefore does still allow for more prosaic explanations to the phenomenon. Although see the comments below where the possibility of instantaneous acceleration is allowed for.

First, let us consider some terrestrial considerations from our knowledge of flight. If the spheres were mere balloons, then they would be contained of a lighter than air gas such as helium with a density of 0.178 g/L or hydrogen with 0.089 g/L. It would remain stable in the air through buoyancy based on Archimedes principle, where the upward buoyant force on an object is equal to the weight of the fluid it displaces. The buoyant force F is given as a function of air density rho, volume of the spherical balloon V and gravitational acceleration g_o such that the force is given by

Yet this would mean that the combined weight of the object (to include any mechanisms, payload, power supply) would have to be less than the weight of the displaced air for the balloon to rise.

We can take the example of a 6 ft diameter (0.9156 m radius) spherical balloon filled with helium so that it has a volume of 3.205 cubic meters. The weight of the air displaced would be 1.225 * 3.205* 9.81 = 38.51 N. The weight of the helium would be 0.178 * 3.205 * 9.81 = 5.59 N. Subtracting them we find the net lift to be 32.91 N. Dividing this force by acceleration due to gravity we can estimate the lift capacity as 3.35 kg. It is difficult to see how an object of this low mass could also exhibit the flight characteristics reported by observers, since it would require an enormous power source to generate the required energy for motion. That is to say that an assertion of a balloon in the observed scenarios described above would not be consistent with the rapid vanishing, since it would imply more mass than this to generate the power required.

It is also unclear as to how these objects are deriving their power. To move at even moderate velocities against winds at altitude will require some level of navigational (pitch, roll, yaw) stabilisation control. Power usually derives from some form of battery, which has mass. If we assumed this object could move to Mach 5 instantaneously from around 10 m/s, this would require an acceleration of around 1700 m/s2 and would involve an energy change of around 4.85 million Joules or 1.16 kg TNT equivalent, so it represents a large explosive equivalent to around 5 sticks of dynamite (a single dynamite stick is around 200 grams and produces around 1 million Joules of energy). Yet we hear no noise associated with this sudden change of motion as should be expected with such an energy change.

To have a reasonable power source to make this change, if we assume the object is 10 times more massive at 33.5 kg, then this implies an energy change of 48.5 million Joules or 11.59 kg TNT equivalent. If we increase the mass again by another factor of 10, to around 335 kg, this is now the mass of the smallest feasible Ultralight aircraft such as an Aerolite 103 or TL-Ultralight stream, and the energy change would require 484 million Joules or 115.7 kg TNT equivalent.

Here we have made the moderate assumption to M = 5, but in many cases the reported motion is much higher. The speed of sound at sea level for air is defined by the ratio of specific heats gamma = 1.4, the Rankine constant R = 8.31 J/mol, the Molecular weight m = 0.0287 kg/mol and the temperature at sea level 298 K (~20 Degrees Celsius). This is then given by the speed of sound as follows

Since at altitude the air temperature changes this also changes the speed of sound, but for now let us assume a Mach number relative to this value, so that M = 5, implies 1,715 m/s (1.71 km/s or 3,836 miles/hour) and M = 10, implies 3,430 m/s (3.43 km/s or 7,673 miles/hour). For comparison the Lockheed SR-71 Blackbird cruised at 2,200 miles/hour, which is 0.983 km/s or 983 m/s, at an altitude of around 80,000 ft. Since the air temperature is a bit cooler at 288 K (~15 Degrees Celsius) then this calculates to a speed of sound of c_o = 340 m/s, so that M =2.89. Also, for comparison, to reach orbit a rocket must achieve a velocity of

Where G = 6.674*10^-11 Nm^2/kg^2 (gravitational constant), M = 5.98*10^24 kg (mass of Earth) and r = 6.4*10^6 m (radius of Earth), so that v = 7.9 km/s (17,676 miles/hour or equivalent to M = 23 at sea level). Escape velocity is sqrt{2} times this value

To give v = 11.2 km/s (25,054 miles/hour or equivalent to M = 32.6 at sea level). The reasons these calculations are useful is because they allow is to see that if an object suddenly accelerates to velocities of order M = 5 or 10, then we are looking at a performance that exceeds the Blackbird and is approaching the requirements for rocket velocities that leave Earth. Yet we know rockets take enormous amounts of power and certainly make a lot of noise. This immediately implies a new type of technology that goes beyond rockets and explains why people will jump to the conclusion of other worldly as a point of possible origin.

In this article I have made an equivalence between the daytime spheres and the night-time luminous orbs, that they are assumed to be the same object but appearing different under different lighting conditions. As already mentioned, we refer to this as an orb equivalence principle and it would stand as a hypothesis to be validated or falsified, such as using sensitive detectors which can go beyond the human vision range. If one is to make this equivalence, that the daytime spherical orbs are also the night time luminous orbs, then this might tell us something about their physics operation. It may be that during the night-time it is not possible to shield their glow and hence why they appear luminous. But during the daytime, perhaps due to the way that light is scattering around the object, any tenuous glow is not visible. The light from the orbs may be overwhelmed by the luminosity of the sunlit sky during the daytime. During the night-time however, since there is a large contrast between the light of the objects and the background night sky, the light emission surrounding their surface becomes visible to the human eye.

Think of how an Aurora may be present but not visible during the daytime since the wavelengths of its tenuous light emission are not visible against the background of the dominant blue sky, particularly since the light from the Sun is approximately 10,000 times brighter than an Aurora. The sky is blue due to Rayleigh scattering of the light as it passes through the Earth’s atmosphere and blue light has a shorter wavelength and scatters more than other colours. So, an Aurora may be present but we do not see the scattering of its light. Similarly, an orb may have a glow around it during the day, but we do not see the scattering of its light and only highly sensitive light detectors could pick it up. Instead, all we would see is the material structure underneath, such as a metallic or composite shell.

This then brings us to the question of what could cause the luminous glow, and it likely has its origins in some form of electrostatic field, such that the air around the object is ionised into a plasma state. This means that the surface of the sphere would be electrically charged with respect to its external environment. This would be a reasonable interpretation.

One possible operating mechanism then might be along the lines of the Biefeld-Brown effect, where an ionic wind surrounds the sphere and transfers momentum to the surrounding neutral particles. For example, if a sphere was to be surrounded by an ionized gas so that it forms a plasma sheath where electrical charges accumulate on its surface so that it is conductive, it would acquire a net electrical charge. If an internal component of that sphere was then magnetized, this might allow for the generation of a Lorentz force. So a conjecture here would be that the objects can ionize the space around them, giving rise to the light orb effect, but then generate an internal force by the motion of a magnetic field within that ionized space. A similar suggestion has been made in the Biefeld-Brown effect as a theory of electrogravitics, although this involves a force generated between two asymmetric electrodes when a high voltage electric field is applied. To test these sorts of ideas, one would need to get near the orbs or spheres and measure the electrical field around them which would provide for valuable information.

This yet this would require an on-board high voltage system and capacitors sufficient to generate the effect. However, we acknowledge that the experiments on this effect have largely remained controversial. But it is likely that the means of propulsion derives from something relating to an electrogravitic effect, where the machine can interact with either the Earth’s gravity field or the Earth’s magnetic field, or both. Although such an effect ‘may’ give some explanation as to the means of propulsive motion, it would not explain any instantaneous acceleration or an ability to move ultra-fast, which would imply some other form of technology is in operation.

In terms of generating an internal energy source this would require some form of nuclear reactor, since chemical reactions are too low in terms of Joules/kg. A typical chemical reaction may only release around ~1-10 eV of energy for example, or up to around 44 - 142 MJ/kg (gasoline to hydrogen combustion). In contrast, for nuclear fission the energy release is around 200 MeV per nucleus or 82 million MJ/kg. For nuclear fusion it is even larger at around 340 million MJ/kg. So nuclear fission is 6 orders of magnitude larger than chemical reactions and fusion reactions is an order of magnitude larger than fission reactions, or 7 orders of magnitude greater than chemical reactions.

Again, we have the problem of mass. How could such a small and apparently lightweight object contain a nuclear reactor? We might turn to alternative radioactive sources, such as Plutonium-238 or Americium-241 as used or proposed for deep space robotic missions (e.g. Voyager 1 and 2); yet although these materials have very long decay half-life’s they also carry a weak power density for the requirements of our high manoeuvrable orb objects. Therefore, in all likelihood, if we are to accept possible characteristics, such as instantaneous acceleration, none of the above power sources would be suitable.

An exception may be matter-antimatter annihilation reactions, which would be a highly efficient energy conversion process at 100%. If we take 1 kg of matter annihilating with 1 kg of antimatter for example, all released as photons travelling at the speed of light at 300,000 km/s, then from Einstein’s equation we find

This amounts to 180 Billion MJ/kg of energy release. This is 10 orders of magnitude greater than chemical reactions, or 4 orders of magnitude greater than fission, or 3 orders of magnitude greater than fusion. This would certainly give the required energy, but it is difficult to see how one could orchestrate a controlled containment and release of matter-antimatter for this purpose. That said, this is from the perspective of our technological state of art. At the very least, if any human society had engineered such an ability they would hold technological supremacy in their hands. If no human society has achieved this (and there are reasons for thinking this is doubtful), then this would point towards an advanced technological society that is ahead of ours. Are there other options for energy generation we might consider?

There may be a way to derive energy from the neutral vacuum. For example, it is possible to use lasers to generate an electromagnetic field to produce particle pairs to include matter-antimatter in what is known as a ‘Dirac Sea’. Using an electric field strength of E_o = 2.4e^18 V/m would require an intensity of I = 1.5e^28 W/cm^2 and a diffraction limited spot power of

Where lambda is the laser wavelength. The physics of this has been examined by others [D. Crowe, “Laser Induced Pair Production as a Matter-Antimatter Source”, JBIS, 36, pp. 507-508, 1983]. But again all this would need power which implies mass so is beyond our current technological capability.

There are many alternative ideas out there which could be examined further as the basis for extracting energy from space or its contents thereof. An excellent review of such ideas was published by the American Institute of Aeronautics and Astronautics [M. G. Millis and E. W. Davis, “Frontiers of Propulsion Science”, 227, 2009] which also included a discussion of the Biefeld-Brown effect, although they had concluded: “In spite of previous speculation about possible new physical principles being responsible for the thrust produce by Asymmetrical Capacitor Thrusters and lifters, we find no evidence to support such a conclusion”.

In a recent book, although based on research over a decade, it has also been proposed that a theory of quantum inertia may give rise to incredible propulsion effects [M. E. McCulloch, “Quantised Accelerations, From Anomalies to New Physics”, Polaris Books, 2024]. There are also exotic ideas for wormholes and warp drives [F. S. N. Lobo et al., “Wormholes, Warp Drives and Energy Conditions”, Springer, 2017] and although our understanding of the physics of metrics is currently at a preliminary stage despite over a century of theoretical and experimental research, provided we can source negative energy this subject is likely to elucidate insights that have value. There are also ideas for mining the quantum vacuum by using two parallel Casimir plates and this research has promise.

To achieve an appropriate understanding for the physics and propulsion of these anomalous orbs, a comprehensive program of research would be needed which encompasses a review of all these innovative ideas and how their expected effects and performance correlates to the observations. This may result in a self-fulfilling research program that leads to the maturation of orb technology within our own technological capability; unless that has occurred already (and there are reasons for thinking that it might). However, the reality is that research into these potentially game changing, low TRL, propulsion technologies, receive very little funding support or widespread interest from academics and this needs to change of revolutionary breakthroughs are to be made. To steal a quote from the astronomer Carl Sagan, and reword it a little, absence of evidence for a coherent physics explanation for the functionality of orbs, is not the evidence of absence for the existence of such a technology, considering the many observers who have reported seeing them (including this author).

Ultimately with the above, and in particular with the daytime sightings, one clearly needs more observing time to gather more data. I am disappointed that I have not been able to get the daytime objects on camera, yet I know what I have seen. Ironically, since I have been paying attention to the phenomenon, I have not been seeing them, much to my disappointment and despite becoming more active in searching them out - my eyes are always on the skies. I only seem to see them when I am not looking for them. Has the phenomenon done with me?

The Five Observables

In terms of the physics of these objects, we can also examine the five observables put together by the US Defence Department as a comparison:

  1. Anti-gravity lift: It is certainly not clear how these objects are achieving lift. There appears to be no associated noise so that rules out a motor. Yet they appear to have some degree of intelligent control. This would certainly suggest a novel type of propulsion system that does not rely upon the reaction engine principle.

  2. Low Observability, or Cloaking: At night, the orbs were hazy, and had the appearance of a plasma. The daytime objects appeared to vanish quickly, and this could have been due to the use of visibility cloaking technology, but this is conjecture, and I did not witness the transformation from visible to invisible. Yet the fact remains, they did vanish.

  3. Hypersonic Velocities without Signature: No trails were ever visible. Neither did I observe these objects moving at high speed. Yet again, their sudden vanishing, might be consistent with a move towards a hypersonic velocity, but I did not observe that.

  4. Trans-Medium Travel: I only observed both the orbs and the spheres traveling through the medium of air. That said that they all appeared to come from the direction of the Ocean, or returning that way, which might suggest a trans-medium capability. I just did not observe that and this would again be speculation.

  5. Sudden and Instantaneous Acceleration: Unfortunately, I never observed any rapid acceleration or deceleration along these lines. However, given that I was not looking in the time that they disappeared, their vanishing might be consistent with an instantaneous acceleration, I just did not observe it. Clearly, I should have kept looking.

If it is not the case that the orbs involve some electrostatic field to give the Aurora like effect, but the orbs and the spheres are still the same object according to my orb equivalence principle, then we might be forced to consider another characteristic which we will define as a phase change:

6. Phase Change: On the basis of the some observations by others, we are also tempted to suggest a consideration of another characteristic which we define as a phase change from one material state to another, such as from a solid to a plasma but without going through the liquid or gas phase, that is solid-to-plasma transition or direct sublimation to plasma. Although this would normally involve an extremely high temperature to undergo heating beyond the sublimation point, and yet without leaving any loss of material such as through vaporisation. This idea is merely left for speculation.

In terms of the object vanishing rapidly, we might consider an example. If an observer is h = 100 ft above sea level, then the distance to the horizon is given by

But for an object to disappear to the horizon distance in ~5 seconds would imply a velocity of 8,877 miles/hour or a Mach number of M = 12. Instead, we could argue that the human eye will not see the object that far due to the diminishing size of the object as it moves away. So let us consider that the object is D = 6 ft in diameter, at what point will it become so small it will no longer be visible to the human eye? The human eye has a resolution of around 1 arcminutes (1/60th of a degree) so we need to know at what point does the object go below theta = 1 arcminute of resolution. This is given by the distance

This would still imply a velocity of over ~5 seconds of 2,833 miles/hour or M = 3.7, yet there was no sound.

It is also not clear that a sphere would be the ideal object to utilise in moving through the atmosphere due to its relatively high drag and low aerodynamic efficiency, although its performance does depend on its speed. With a drag coefficient of around 0.47, even a smooth sphere does poorer than an object like an airfoil or bullet. At low-speed laminar air flow the air will move over the sphere, detach quickly, and create a wake behind it, which is a source of drag. This means that at low speed the sphere will not generate meaningful lift and so that cannot be its mode of operation. At high speed the air flow becomes turbulent, but this does improve the performance since the wake size is reduced. So, it is possible that a sphere is optimised for high speed travel. This is why a golf ball is pitted to promote turbulence near the surface and delay flow separation which reduces the drag. Lift can be enhanced by spinning the sphere in a physics mechanism known as the Magnus effect, but I did not observe the objects spinning. An advantage of a sphere is that it is an isotropic shape and since it has no specific orientation it will remain stable in free flight. A sphere will also distribute heat uniformly around its surface and so this may be an explanation for its form.

One of the critical aspects of my observations on the daytime sightings is the rapidity by which they disappear. Having considered this there are three possibilities:

  1. It is a technological machine of material construction that has some advanced capability for hiding itself as in the use of stealth technology, so that it may still be there, but it is no longer visible to the observer.

  2. The rapid disappearance may be consistent with instantaneous acceleration. I just didn’t witness that aspect of it (although others have reported it). But if it moved from near zero velocity to say 1,000s km/s it would be gone from its position in less than 1 second and if we were not directly observing it then we would miss that aspect of it; as I did.

  3. Since the objects vanished on each occasion after I tried to enhance my observation using an optical aid (binoculars or phone camera), it may indicate some level of awareness that I had now noticed the object. Although it sounds fantastic, I cannot rule out a conscious observer dependent phenomenon. I have developed a possible hypothesis relating to this but will leave that for another time.

In consideration of the different observations, we have to ask if they represent the same object or different classes of objects. For example, each observation could be representations on a continuum of orbs depending on the properties they emit and whether they are observed at night or during the day as shown in the images below.

Artificial Intelligence generated images of orbs.

Given all the above, we can create a category of orb according to six distinguishing features which are now described as a part of a morphology. This is a different way of characterising the objects from the US Department of Defence five observables. These are:

  1. Shape: In general, the spheres appear to be spherical but have some ability to deform their shape into more oblate spheres. We might term this a degree of ellipticity as a deviation from spherical symmetry. We define this with the use of a compression factor b/a, for the two semi-axes a and b, and where the flattening is defined by f = (a-b)/a. Alternatively the eccentricity e of an ellipse is defined between e = 0 (circle) and e = 1 (parabolic ellipse) or when e > 1 (hyperbolic ellipse).

  2. Colour: In this article we have explored orbs that go from white, to orange, yellow. Others have reported seeing blue and red orbs. it is interesting to note that all of these colours appear in the spectrum of white light when refracted in a prism to reveal the different components. This might indicate that any light falling upon the object at night (or coming from the object) is refracted into a particular frequency. That colour may also give some indication as to the spectral power distribution and temperature of the objects external surface and this would require an infrared thermometer to measure the surface temperature (although would not give information about the internal temperature). The other thing about the colour is we might consider two possibilities (a) that the colour represents operability, as in when the orb is performing particular functions this is reflected in its colour emission (b) another possibility is that the colour represents different stages of an orb such as in its life cycle, the same way that we look at the colour spectrum of a star, and as the orb moves through its life cycle it changes colour (c) another possibility is that each orb has a different colour simply because it is a different class of orb from the other ones and so the colour represents function.

  3. Luminosity: As indicated, this may be related to the colour. The luminosity is best expressed as a characteristic power distribution and will have different wavelengths at different temperatures. Since when observed the objects appear to have one dominant colour, this might indicate some degree of Rayleigh scattering from a light source within the orb to produce a concentration of shorter wavelengths and hence say an orange colour. A yellow orb would emit around 550 - 565 nm. An orange orb around 565 - 600 nm. A red orb around 600 - 640 nm. Ultimately, it would be constructive to get illumination readings of an orb so as to discern its emission spectrum.

  4. Size: In general, the objects have been seen as small as a standard football size, say around 12 inches, to as large as perhaps 6 ft, with a medium size of around 3 ft or approximately 1 m. This would appear to rule out an occupant controlling the orb and points more towards either remote control at distance or a high level of autonomy within the orb to direct itself. This would be expected if for example we were looking at a highly sophisticated reconnaissance probe.

  5. Motion: The objects appear to float along but also have the appearance like a form of buoyancy, suggesting they are subject to some external forces which prevents them from remaining in a stable position all the time, but rather oscillate about a stable equilibrium point and then to adjust for that. We can rule out wind forces based on the notes written above, but perhaps we might consider that they are moving along magnetic field lines. A magnetic field line would not be in a fixed position but would be dynamic and always changing. The objects also appear to be able to move very slowly, or to hover in a static position, or to even travel at superfast speeds at indicated above.

  6. Fragmentation: On occasions it has been observed by some witnesses that a single orb will fragment into two orbs, or will eject several orbs from within it. This is a rather peculiar phenomenon, but it has also been caught on film several times. This reminds me of being analogous to fire or water, where parts of it might split off into a separate part, yet it remains the same substance as the original source material. This might give some indication as to the nature of the intelligent structure that makes up the orb, that it does not have a central processing brain, but instead the intelligence is contained within the substance itself, so that if any part splits off, it will contain the same information; but this is wild speculation. Alternatively, we might refer to the existence of multiple orbs as ‘clustering’ although they would appear to us as a swarm of separate objects.

Based on the above we might consider constructing a morphology chart of types of orbs based on a combination of the different characteristics, such as the ellipticity and the wavelength associated with any luminous emission. This would be like the way in which astrophysicists construct charts of the evolution of stars or types of galaxies for example.

Morphology of orbs in terms of ellipticity and wavelength of dominant light emission

Instead, we might consider how to organise the different types of orb like objects under different characteristics. For example, if we take the five characteristics defined by the US Department of Defence, then we can plot them as follows, where example (i) pertains to zero characteristics being observed and so is consistent with known objects and (ii) pertains to all characteristics being observed and so is fully consistent with an unknown object or a UAP. This is generated in what we refer to as pentagonal spider web diagrams. The different positioning of the footprint may give us insight into the extremes of observations.

Descriptions of limits: (1) Anti-gravity lift, 1 = none observed, 2 = fully observed (2) Cloaking, 0 = no cloaking, 0.5 = partial cloaking, 1 = fully cloaked, which corresponds to an inverse opacity scale from 0-100% (3) Hypersonic velocity, Mach numbers 1 - 10 shown (4) Trans-medium travel, 1 = none-observed and in a single medium only, 1.5 = air and sea travel, 2.0 = air and space travel (5) Instantaneous acceleration, 0 = static object or slow object with no change in speed, >>1 = complete vanishing of object within a second or less indicative of rapid acceleration.

In the construction of these spider web diagrams the dashed line is drawn from the approximate data point at right angles to the line of origin and extended until it meets another dashed line. The footprint is then constructed by joining the different dashed line intersection points to create an approximation for the characteristic footprint space. We can take this further by illustrating with several examples to see what the footprint of characteristics looks like for different imagined case studies and these are shown below.

Descriptions of limits: (1) Anti-gravity lift, 1 = none observed, 2 = fully observed (2) Cloaking, 0 = no cloaking, 0.5 = partial cloaking, 1 = fully cloaked, which corresponds to an inverse opacity scale from 0-100% (3) Hypersonic velocity, Mach numbers 1 - 10 shown (4) Trans-medium travel, 1 = none-observed and in a single medium only, 1.5 = air and sea travel, 2.0 = air and space travel (5) Instantaneous acceleration, 0 = static object or slow object with no change in speed, > > 1= complete vanishing of object within a second or less indicative of rapid acceleration.

Using the Pentagonal 5 characteristic observable methods the author has plotted the footprint of his own three observations which are shown on the pentagonal spider web diagrams below. It is the similarities in the characteristic footprint that had led the author to propose an orb equivalence principle. Although we note that for all the three diagrams the objects were moving in the direction of from/to the Ocean, which might indicate a trans-medium capability, it was just not observed. Also, for diagram (c1) the rapid vanishing of the object on three occasions may indicate an instantaneous acceleration capability, it was just not observed.

Descriptions of limits: (1) Anti-gravity lift, 1 = none observed, 2 = fully observed (2) Cloaking, 0 = no cloaking, 0.5 = partial cloaking, 1 = fully cloaked, which corresponds to an inverse opacity scale from 0-100% (3) Hypersonic velocity, Mach numbers 1 - 10 shown (4) Trans-medium travel, 1 = none-observed and in a single medium only, 1.5 = air and sea travel, 2.0 = air and space travel (5) Instantaneous acceleration, 0 = static object or slow object with no change in speed, > > 1 = complete vanishing of object within a second or less indicative of rapid acceleration.

We can also quantify this using a form of metric which we might refer to as an Observability Rating (OR) which is equal to the sum of a combination of multiplicative factors and where we use the Greek letter Omicron:

Each term is then quantified as follows:

  • f_1 = {1 —> 2}. This would likely be based on a subjective observation on whether any lifting surfaces or propulsion devices were visible. An object that displayed an obvious lifting surface or propulsion machine would tend towards —> 1, but an object with no visible means of lift would tend towards —>2.

  • f_2 = T = I/Io, which derives from A = -log10(Io/I), from Beer-Lambert Law, where A is the absorbance (0 clear to 1 opaque), I is the intensity of the transmitted light, Io is the intensity of the incident light. An opaque material will have T = 0 and transparent T = 1.

  • f_3 = {v/c} = M, where M is equal to the Mach number, defined as the ratio of the vehicle velocity to the local speed of sound at the approximate altitude.

  • f_4 = {1 —>2}. This would be based on an observation of the vehicle in air only (1), also going into the water (1.5) or going into space (2.0).

  • f_5 = {[(v - u)/t]/go}, where u is the initial velocity, v is the final velocity, t is the time duration of the observation, go is acceleration due to gravity.

These terms are then bought together into an equation expressed below:

Using this metric, a sighting which had an OR << 1 likely has a terrestrial explanation since it displays few of the observed characteristics, whereas a sighting which had OR >> 1 definitely meets the definition of a UAP and could not be explained within our existing technological state of art, therefore implying a consideration of ‘other’. None of the terms in each characteristic can actually be zero or the entire metric will become zero, so instead it would be better to define terms that tend towards zero under a low observability rating (i.e. 0.1). The situation where OR = 1, might correspond to f1 = 1.0 (lift mechanism obvious), f2 = 0.1 (fully visible no cloaking), f3 = 1.0 (Mach = 1.0), f4 = 1.0 (air only), f5 = 1,000 m/s / (10 s * 10 m/s2) = 1.0, and might represent some kind of military aircraft.

Alternatively, we might base such a footprint pattern on the six observables listed by this author which creates a hexagonal spider web diagram arrangement.

Description of limits: (1) Shape, 1 = perfect sphere, 2 = elliptical (2) Colour, defined along the electromagnetic spectrum, 1 = black, 10 = white, other colours in between in the order black, red, orange, yellow, green, blue, grey, white. The actual value of the colour would be defined as a wavelength normalised to another wavelength as emitted blackbody radiation (3) luminosity or brightness, normalised to some standard candle yet to be defined, 1 = none luminous, 2 = very luminous (4) Size, normalised to a standard size yet to be defined, 1 = very small, 10 = very large, perhaps in the range 1 ft up to 12 ft (5) Motion, normalised to a standard size such as Mach number at Sea level, 1 = sound speed, 10 = ultra-fast motion (6) Fragmentation or clustering, 1 = 1 object observed, 10 = 10 objects observed. These parameters and their ranges are somewhat arbitrary and are more illustrative than anything with the intention of promoting discussion on how we can characterise orb type, behaviour and performance.

For the footprints shown here these are for the three classes of objects observed by the author. Example (a2) is the white lights seen at night in a cluster of three. Example (b2) is the orange like orbs seen at night usually as single objects. Example (c2) is the spherical objects seen in broad day light and always on their own. Each gives a very different footprint when illustrated like this. by studying the different permutations of footprints possible we may be able to elucidate insights into their nature and operability.

In this version the shape or geometry is defined by an equation for the deviation from spherical symmetry. The colour is defined as a blackbody radiation temperature where the wavelength of the emitted light is given as a function of the temperature. The luminosity is defined from the Stefan-Boltzmann law of blackbody radiation as a function of temperature and area. The Size is defined as a diameter relative to another diameter. The speed is defined relative to the sound speed. The number is defined relative to some large number to normalise the total observability rating around a value of unity. This gives a new equation form for the metric as follows:

In defining the equations shown above (and the spider web diagrams), these are not proposed as actual final forms to be adopted but are merely examples to illustrate how we might begin to quantify a sighting in terms of two extremes and everything in between. This way for those with a low observability rating they would get less attention in terms of research since we would have a high confidence that they likely have a normal explanation. Those two extremes being from the known and prosaic with all phenomena understood and explained, to the unknown and fantastic, with all phenomenon not understood or explained and so represents a genuine mystery. Further work would be required to refine these ideas to usable tools and ideally the mathematical terms should be defined such that OR ~1 represents a transition point between non-UAP to UAP, but this requires some careful deliberation.

In considering all of the above, we might then also hypothesise on the possible nature of the orbs as mechanical systems or living systems. It is worth describing these.

  • Mechanical System: In such a system the different characteristics of each orb would correspond to its engineering type, function and operability. If it was designed with a particular type of mission in mind, then its design characteristics would emerge from form follows function. There may be different classes of probes for example. To illustrate, in the scientific reconnaissance of any planet, one may need orbital observers, atmospheric penetrators, ground landers, ocean divers, or those associated with the observation of indigenous lifeforms. For some of these an ultra-fast capability may be needed, but for others it may not be an appropriate capability. Although, given the claim for a trans-medium capability this may illustrate a broad utility for each object.

  • Living System: In such a system, the orbs would not be seen as engineering machines, but perhaps living systems. This may be a form of organic life we are yet to encounter, or just a different type of life that is not constrained by our current definitions. A high organisation of charged particles based around quantum states for example, where any information exchange is centred around a deviation from a thermodynamic equilibrium. In which case, the different types of orb characteristics may be manifest of categories of ‘living forms’ or even representative of ages of those forms. This would be analogous to how we look at the lifetime of stars as they move through the main sequence of stellar structure and evolution, or the morphology of galaxies.

Finally, in this section, although we have not discussed it we cannot entirely ignore the issue of reported flying discs by many observers. In particular, the reported observations that orbs have been seen exiting from such constructions. Yet, there is also another possibility we might consider, which is that orbs and discs represent the same object, but under different perspectives of observation. This may be due to an observer effect or may be reflect the objects ability to change its shape. Indeed, in consideration of terrestrial origins, might we be looking at some form of advanced aquatic jelly fish that has evolved to take flight so that it has a trans-medium capability? Perhaps an advanced type of Scyphozoa? This is an equally fantastic idea and we merely leave this possibility here for further pondering.

Summary of the Phenomenon

With all these observations there are really four possible interpretations:

  1. The first is we are mistaking these observations for something prosaic we have not considered, given that in general ~95% of observations are explainable. Yet, we have managed to rule out most things and we are convinced the observations do not match any terrestrial activity for which we are aware.

  2. The second is that this is indeed some government psychological warfare operation, using me (and others) as a ‘useful idiot’. In particular, for me as someone with a research interest in interstellar studies and the exploration of deep space, to make me think I am seeing things because it supports a narrative agenda. Perhaps hoping that I will report these, as I am now doing, although I certainly took my time. If this was occurring, then I have to state for the record that as a scientist that I object to it and do not appreciate government agencies conducting themselves in this way. Indeed, I would give an opinion that such conduct is unethical and represents an abuse of power.

  3. The third is that these are in fact drones from a foreign government, such as launched from underwater submersibles by China (as claimed by some), in which case this is a national security issue. Arguably, something similar has occurred at US bases in the UK and also in New Jersey in recent weeks. Given the West seems to be in a pre-war preparation mode with Russia, this is plausible. I would particularly note that since I am a person who previously held high security clearance and worked on sensitive projects, this possibility is one of concern to me and I do not see any efforts by my NATO affiliated governments to take actions in protection of their scientific personnel. In addition, if a foreign state is behind this and our governments have permitted it to continue, then this really illustrates the lack of leadership in Western nations and the lack of courage in protecting our air-sea-space domains. Indeed, a failure to act, should demand the resignation of such leaders from their position in office.

  4. The fourth option I am left with is what I will call ‘other’ and that this is an attempt to get my attention and pay attention to the phenomena for which I was previously neglecting. This is despite the fact I had turned the design of starships into a chosen career over many years and my principal interest was getting spacecraft out there around other stars. For sure, it got my attention, and the phenomenon came to me. For the record, I will state that I am inclined towards ‘other’, but I also must admit this could be my heart overruling my intellect and so for this reason my mind remains open.

Under ‘other’ we might consider several main possibilities:

The first is a terrestrial one, that we are looking at some kind of life form that has evolved on Earth independent of us or our awareness. It has recently been discovered for example that there is a massive ocean hidden under the Earth’s crust approximately 400 miles underground in a region known a ‘ringwoodite’, where water is stored within a sponge like rock that attracts hydrogen and traps water. According to the authors of a recent study “if the rock contained just 1% water, it would mean that there is three times more water under the surface of the Earth than there is in the oceans on the surface” [B. Schmandt et al., “Dehydration melting at the top of the lower mantle”, Science, 344, 6189, pp.1265-268, 13 Jun 2014]. Hidden ecosystems have also been found in other locations such as within volcanic crust.

Another is that this is manifest of an extraterrestrial origin but from one of the planets or other celestial bodies of our own solar system. Although we have sent space probes to all of the planets and conducted flybys of many of the other objects, we have still barely scratched the surface in terms of a full survey of the planetary and moon surface and sub-surface conditions and content. Could life-forms exist in the atmosphere of Jupiter, the methane lakes of Titan, the deep waters of Europa, or in under surface canyons of Mars?

The other possibility would be extraterrestrial in the traditional meaning of the word, as in from another star system and its associated planets. Given that traversing the distance between stars appears to be entirely feasible in principle (this author has written many papers on this subject showing it is), we cannot rule this out and indeed there are statistical arguments in support of why we should expect this.

Another more exotic possibility relates to extra-dimensions of reality, such as crossing from one universe into ours through some hyperdimensional transport network that allows for the manipulation of space and time as permitted through Einstein’s General Theory of Relativity.

In terms of my personal opinion, there is a certain amount upon which I can state based on my own experience, and then there is that which is known and that which is conjectured. Much of the above remains speculation by me and I am fully open to the possibility that I, like many others, are being manipulated as a part of some great government game and this is the reason for keeping a sense of scepticism about the phenomenon. Yet, my instincts tell me otherwise, that at the heart of this UAP phenomenon, is a highly intelligent nature that seeks to communicate with humankind under a benign intent, and it does so in the context of grave concerns over our current conflicts and wars.

To make progress in this field, it is important that academics and the science community begin to remove the layers of indignation and scorn that so surrounds the phenomenon. For decades there have been thousands of people that have reported strange observations (and encounters) for which has been largely dismissed and made mockery off. It is entirely possible that a large fraction of those individuals have experienced a genuine phenomenon yet have made their experience even more difficult by the isolation from main stream society as they were made to feel strange, weird or a fantasist. I think it is now time for academics to reconsider what has been going on here, whether it is a technological, biological or phycological issue. It has been having impacts on people’s lives and it is continuing to do so today.

If we can facilitate this, we may find that others come forward with more compelling testimony that aids in our understanding for what is and has always been a compelling situation for which we would be best advised to take notice. I hope that in me personally coming forward at the end of 2024, with much reputational risk, that I have given some courage to others to also do so.

I have neglected this phenomenon for years despite all the stories I have been told by colleagues, particularly in the US, some of which is now coming to light in the US Congressional hearings. The phenomenon did get my attention once it came to my door. I find this whole subject matter exciting with a sense of scientific curiosity, but also concern given the current global events. I mean, if this is an intelligence, how seriously concerned must they be about the political matters of mankind to reveal themselves in this way? This is a question we should be asking ourselves and the current trajectory of our nations on this shared Earth. Whatever this is, it demands our attention!

What is the Possible Origin of UAP Orbs?

Recently I discussed the fact that many people around the world appear to be seeing strange orbs in the sky. I also acknowledged for the first time that I had also been seeing them for several years. This has included bright orange/golden and white plasma like orbs at night but also white spherical metallic looking objects in the daytime. In this short article I think it is constructive to consider the possible origin of these objects from across the spectrum of possibilities as a thought experiment.

I would like to be expansive in my considerations for the possibilities, to include the prosaic to the fantastic, from the plausible to the incredible, to span the various options that might be included to consider as a pathway towards the development of reasonable hypothesis. With this in mind, I have constructed types of definition as a ‘catch-all’ for most of the explanations that we might consider over ten categories of possibilities which span from the material to the non-material, to correlate with actual hardware to imagined. Therefore, as illustrated in the diagram below the possible explanations go from the prosaic to the fantastic and back towards the prosaic.

We now list these ten categories and describe some of the sorts of things each one might entail as sub-categories to be considered:

  1. Near-Tech: This is the suggestion that these objects are an invention of our own governments such as from the United States, where a lot of this activity is occurring. This may be happening as a part of a broader psychological warfare objective. This might be achieved by using ‘cloak and mirrors’ such as using holograms, lasers and other light tricks. We cannot rule this out, since governments have a record of not being honest with the public they were elected to serve, and in particular government agencies appear to operate with a large amount of self-interest, inappropriate within a democracy. Alternatively, it would be the actions of a sub-group of our government, a form of breakaway civilization that had a different agenda to the masses and would explain why even our governments appear confused. That said, some of the characteristics of the objects reported by some observers would appear to defy our known physical laws and this would require a significant explanation to account for it.

  2. Far-Tech: This is the idea that a foreign government (such as Russia or China) is playing games with the West by demonstrating how they can easily infiltrate our air space or undertaking spying activities of certain facilities. Since the West is currently engaged in a major proxy-war with Russia, via Ukraine, we cannot rule this out as a possibility. But it would imply that these other nations have significantly leapfrogged the United States technologically. This has happened before and is one of the reasons for the start of the Space Race, when the Soviet Union placed Sputnik 1 into Earth orbit in 1957. Yet, given that the US spends way more than any other nation on military weapons development and is also at the forefront of technological developments by far, this is very difficult to believe. Not only do other nations lack the knowledge (except Russia) and personnel, but also the economic infrastructure (except China). To develop such an advanced programme does need money, knowledge and access to the critical technologies necessary for the development and trials. As pointed out, whilst Russia and China arguably have access to one, they do not have all, unless there was an unprecedented scientific military collaboration taking place for which the West is ignorant.

  3. Earth-Natural: This is the suggestion that these objects are not conscious in the way we might think, but perhaps are an atmospheric or meteorological phenomenon that we have not sufficiently understood. An example of this might be ball lightning for example, for which it has been theorised may be released around the high-pressure regions of volcanic vents. Alternatively, we do have phenomenon like Aurora and lightning which are spectacular light displays, so could these orbs represent something in between - a ball of electricity contained within its own charge neutrality that floats through the atmosphere subject to winds or magnetic fields, having very little mass to be influenced by gravity. But then, we would also have to explain the apparently high degree of self-organisation in these orbs manifest of intelligence.

  4. Earth-life: Another idea is that they may be intelligent and a form of life we have not yet studied sufficiently. Since the orbs often appear to be coming from or going towards an ocean, perhaps a form of jelly fish that evolved to take flight so that it could move from the ocean to the skies in a demonstration of trans-medium capability. They may be a highly intelligent form of life that does not meet our current expectations for the definition of biological organisms, but a different kind of life organised around other physics principles. Any form of intelligent life that evolved on Earth separate to us may be consistent with the crypto-terrestrial idea put forward by some. In his book ‘What is Life? The Physical Aspect of the Living Cell’ the physicist Erwin Schrodinger wrote “living matter, while not eluding the laws of physics as established up to date, is likely to involve other laws of physics hitherto unknown which however once they have been revealed will form just as integral as part of science as the former…life can be defined by the process of resisting the decay to thermodynamic equilibrium”. This might indicate a need to broaden our definition for life beyond say homeostasis - a property of a system such as the concentration of a substance in solution that is actively regulated to remain near constant.

  5. Sol-life: In our solar system there are many large planets and dozens of different types of moons. For example, Jupiter has 95 moons, and Saturn has 82 for example. Since we suspect that some of these moons do have water, and an internal energy source (i.e. Io, Europa, Enceladus) is it possible that life did evolve on one of these objects in an act of a separate biogenesis to the point of high intelligence? If it then developed an ability to traverse the space between the planets then it might come here and would be curious about us. It would represent a form of extraterrestrial, just originating from one of the other celestial objects of our own star system. Yet it is possible that from an evolution perspective that life on Earth and life on another planet of the same system could have a common origin.

  6. Interstellar-life: This would represent the true meaning of extraterrestrial life, meaning an intelligent life that derives from the planet of another star system. Since we have now discovered over 7,000 exoplanets, and we know there at of order 100 - 400 Billion stars in our own galaxy the Milky Way, the probability of this is statistically high. It could be argued that the average distance between stars, approximately 5 light years, is too great for any life form to traverse. But the reality is that for decades physicists have generated dozens of ideas for how this could be achieved in terms of an engineering machine and so this appears possible (i.e. fusion, antimatter, solar sails, microwave sails, space drives). If we can conceive of many ways of crossing the stars from the viewpoint of our species today, when we only got into space in the 1950s and 1960s, then imagine what we could conceive several centuries from now when our scientific and technological knowledge is far more advanced. Now project that same line of thinking on to a species that may be hundreds of thousands or even millions of years ahead of us. Interstellar travel is entirely feasible. Since our present knowledge of physics indicates a limit to motion set by the speed of light, any intelligence travelling here from very far away would likely have to develop technologies that supersede this speed limit. Yet with this comes the implications for relativistic time dilation and so this might also imply they have mastered an ability to visit the past - with this comes the possibility that we are looking at entities that represent us in some far distant future.

  7. Exo-Universe-life: There are many mysteries in modern cosmology that have not been solved, such as the nature of dark matter, dark energy, the origin of space and time. One of the ideas to come out of attempts to address these questions is the suggestion that our Universe may be one of many in a plethora of universes that we now refer to as The Multiverse. Within this, different universes may have expanded under their own inflationary rates, so that the emergent laws of physics and types of matter particles are different. This means you could have a universe that is entirely different, and alien, to the one that we inhabit. Another suggestion to come out of modern physics is the possibility of extra-dimensions of space, such as proposed from the theoretical physics of string theory. Given this, it may be possible for some kind of intelligent life, for which we may not recognise as life, to cross those dimensions from one type of reality to another. Whilst we have no experimental evidence that this is the case, there are many reasons from a theoretical point of view to suggest this may have some credibility. Since here we are also talking about exo-universe, this may also imply a spiritual component to the nature of orbs as one possibility, where they are seen as the equivalent of angels. Some of the observations also have a striking resemblance to experiences of altered states of consciousness such as through DMT, which although could be just an aspect of our subconscious, it could also be evidence of a broader nature to reality upon which our own universes is embedded and an interaction with them effectively represents a breaking through into this reality.

  8. Default-Reality: From the significant advances in computer gaming and numerical computation, it has been proposed by some that reality may be a simulation. Indeed, some have gone as far as to argue that the probability that we are not living in a simulation is very low. If reality is a simulation, might it be possible that orbs represent some component of it that has the function of maintaining it or monitoring its constituent parts - an analogy may be the way we view insects in our natural world today such as bees collecting the nectar from a flower. Although it should be acknowledged that such a proposal would imply an intelligent designer behind the construct that is our reality and so this also tends towards a metaphysical perspective, which might also then tend towards a spiritual component, since as also written by Arthur C Clarke “any sufficiently advanced technology is indistinguishable from magic”. On that basis, if an intelligent is so advanced that it can create our substrate reality, from our perspective this is the equivalent of magic and so might represent a form of God, or at least agents acting in the service of a higher creative power.

  9. Exteriozation: This is the idea of taking what is an abstract thought of the mind and manifesting it into an apparent form in the real world so that from our senses we perceive it as explicit and external to the self. Under this option there are two major sub-options. The soft version would be that the objects are not there, but you have convinced yourself the object is there, such as by seeing patterns in nature. This would represent a form of delusion or hallucination. The harder version would be that the object was not there, but you have bought it into being by manifesting it. As the Buddha once said “with our thoughts we create the world”. This might occur for example if there is a fundamental link between the observed and the observer, as an observer dependence conscious reality. By thinking about the objects, or intelligence external to the self, we have externalized the orbs into existence, be they abstract or real, so they are an emergent aspect of our consciousness. However, the soft version would fall down when we consider the fact that the objects are often observed by multiple people, unless we are now talking about a collective exteriozation or even a form of mass hysteria.

  10. Environmental Effect: Since the advance of the industrial revolution, we have developed a highly technological world. In particular, the development of electronic machines, which often involve the transmission of electromagnetic radiation through our atmosphere. This includes radio waves, but also other frequencies. It has been suggested that a mobile phone when held close to the human brain may raise the temperature of the fluid around the brain by as much as 1/10th of a degree Celsius. Given this, and the heavy saturation of electromagnetic waves in our environment, particularly through our power grids and wifi/satellite communication system are we sure that these technologies are not negatively affecting our brains leading to the manifestation of physical forms external to us, or at least the appearance thereof? Two possible sub-versions emerge from this. The soft version is that our technology effects our brains and causes us to hallucinate and since we are all in the same environment it is no surprise when some of those hallucinations are shared with other individuals. A more harder sub-option we might consider is that the technology is altering our brain to the effect that our senses are able to perceive a broader reality than exists outside of what we can normally perceive. In other words, the objects are there but only observed under certain conditions. This would then be analogous to seeing the human brain as like a radio transmitter where certain frequencies of reality were mostly shut off to it (for the purpose of survival in this material reality) but under the right conditions could be broadened to perceive that wider reality (which then returns us back to something like a broader nature to reality).

In considering all of the above there is another element to this which cannot be ignored and may or may not lend support towards particular hypothesis depending on our own interpretation of other phenomenon. In this article we are only discussing orbs, but we cannot neglect the fact that others have also reported seeing more fantastic objects such as flying discs. In some of those observations, the orbs have been seen exiting from the discs, which might suggest they have the function of a sub-probe from a larger craft, perhaps for the purposes of scientific reconnaissance as a type of advanced probe. We will not ponder that more here, but simply acknowledge that it is a possibility. Given this author has never personally observed a flying disc, so associated with the traditional UFO, I cannot yet concede to this hypothesis, only to state that it is not an unreasonable one to assert provided it can be shown that the other types of observations of discs appear credible.

Another element we might consider is that long distance space travel is not consistent with limited life biological organisms and so we may be looking at some form of artificial intelligent life that represents an original civilisation. Perhaps, if that civilisation had figured out how to upload its consciousness into an artificial form, they are for all purposes them. This would make them masters of time and space to a degree only imagined in our best science fiction novels. An implication of this, is that to them we would appear as like insects in comparison to their advanced form. Would their studies of us then be purely taxonomical? Their actions would appear to indicate a deeper and more profound interest in human affairs.

In summary, nobody really knows what these objects are, and more data is required to form meaningful hypothesis which can be tested or falsified. But I will say that from my own personal experience there does appear to be an intelligence behind them. This intelligence may be a distant controller, or the object itself manifest of intelligence. On this basis, I am personally inclined towards the options [6], [7] and [8], but also very open to [4]. Although, no doubt some percentage of all the above is likely playing a role (particularly [1]) which only adds to the confusion. For example, we know that the government ‘is’ also flying drones in the air, but this is likely to investigate the phenomenon and to ensure that the majority of objects seen by the public are conventional drones which dismisses the possibilities of the fantastic as a deliberate counter-intelligence operation.

My personal opinion is we are looking at something that is not a construct of our human civilization, is advanced technologically, and is intelligent to the point where it is aware when we are observing it. This certainly lends itself towards a higher form of intelligent life and is deserving of our respect and humility. Any form which is characterised by these kinds of traits, would also possess an awesome power for which we are dwarfed in comparison. The fact they have not used that power, also suggests a trait of wisdom but also compassion towards humanity and this would suggest a benign intention towards us. The recent actions of these objects, such as the blatant appearance in New Jersey, would also suggest a level of concern and urgency towards our current direction and we would be wise to pause and think.

The science of orbs may represent an exciting new field of scientific study for which I hope mainstream scientists start to examine and it should be a field of academic research at all universities that have an interest in exploring the unknown. For as the writer Arthur C Clarke once said, “the only way of discovering the limits of the possible is to venture a little way past them into the impossible”. I’m personally hoping for open minds going forward and certainly plan to give this issue more attention from a physics and astronautical engineering perspective.

A Personal Perspective on the UAP Phenomenon

The following post is made with trepidation and much thought, but I have felt compelled to write it despite my misgivings about doing so since I am surely to be criticised. Recently there has been a lot of press coverage over ‘drone’ activity. This has included bases in the UK like at RAF Lakenheath, and government facilities in the US such as Langley Air Force Base, Wright Patterson Air Force Base and Lawrence Livermore National Laboratory. This has also included much activity around the area of New Jersey and surrounding states like Virginia. Whilst 95% of this activity is likely to be terrestrial drones, sent up by government agencies, hobbyists, or mistaken identity for what is conventional aircraft and helicopters, it is my contention that there is a small fraction of these for which none of the above is their nature.

In the US, the government has appeared confused over the drone activity and from an outsider’s perspective appears discombobulated and uncoordinated in the management of the phenomenon. There are statements from different federal agencies but also state authorities, many of which contradict each other, demonstrating the inadequacy for which they have a handle on the problem. It will be clear to everyone that they do not. In fact, they are as confused as everyone else.

Instead, a story has been put out that they are perhaps looking for radioactive material, perhaps because a warhead had been smuggled from Ukraine into the US, as a relic of the former Soviet Union, and was now lost and this explains why they are looking. I’m going to call this out as disinformation but also inappropriate given the fear it may cause in the citizens surrounding the area. Instead, I believe it is a story created so that the public may be settled for now with a reason for the drone activity. I am going to state why I think the drones are there, although I may appear as a fool for sticking my neck out but that is the risk I take.

For decades, many people have been claiming to have seen things in the skies, what are now termed Unidentified Anomalous Phenomena (UAP). These people have been dismissed, ridiculed, made fun of, called crazy, even ostracised. I feel this widespread dismissal of a phenomenon that has both an objective and a subjective component is unreasonable. Especially since space pioneers like the astronaut Gordon Cooper have openly spoken of the things they have seen, such as in his book Leap of Faith. The astronaut Leroy Chiao also recently saw “two big metallic spherical orbs” whilst flying from Colorado to Texas whilst at 9,000 ft in August 2024. See the graphic below from the All-Domain Anomaly Resolution Office for how widespread the phenomenon is in our world.

The things people see have a wide range of nature and experience and each case should be examined on its own merits, since many will be false or mistaken identification of the known. Yet that is not the case for all of them. One of these types of objects is orbs, typically orange but also sometimes white or other colours. These are small spherical yet amorphous forms which appear like a plasma. Such objects have also recently been seen on the US East Coast.

It takes courage to come out and make a statement that you have been a witness to a phenomenon that is as controversial as this, and more so when you are a professional scientist, where objective scepticism on all observations is a requirement of our trade. As the astronomer Carl Sagan said, “extraordinary claims, requires extraordinary evidence”. Indeed, it does, but with our eyes we can see, even if our minds cannot compute the process in any rational way or account for it using prosaic explanations. So, I post this article fearing the implications to myself but doing what I think is proper in the expression of my view and as a personal right of free speech within a democracy.

I am an Aerospace Engineer and Astrophysicist. My main research is advanced spacecraft propulsion and spacecraft concept design for deep space missions. Through hard work and persistence over many years, I have earned multiple degrees in this subject to include a Doctorate. I have also published dozens of peer reviewed papers in the academic literature, and I have had the honour of visiting and presenting at every NASA laboratory in the US. In addition, I have published over 50 papers in the classified literature (none of which I can cite) when I worked for over a dozen years as a thermonuclear physicist; to include working extensively with the US laboratories. I know very well the consequences of nuclear war and the significant risks this brings to humanity should a ‘Hot War’ ever achieve realisation.

What you should take from this is that I know my air and space vehicles. I have studied aeronautics, astronautics and astrophysics. If I see something in the sky, I am appropriately qualified to make an objective assessment of its nature. I know a bird from a plane, an Aurora from a Zodiacal light, a Mars from a Venus. I know a lens flare on a phone camera from an orb. I know what the ISS looks like, individual satellites and I have seen on several occasions a string of Starlinks. I know a shooting star from a comet.

It is for the first time I make a public statement, that for several years I have personally been seeing objects in the sky and I have reported this to some of my close colleagues. This includes bright orange and white orbs at night, but also white metallic looking spheres in the daytime, usually going from/to the Ocean and on occasions appearing only hundreds of feet from me. I am not going to elaborate on the details here now, but I will merely state that I have seen them on multiple occasions (see photo above). Although some might claim it is a result of psychological exteriorisation, it was as clear as if I could reach out and touch them. When I ponder why I have been seeing these objects, I think it was because I was for many years ignoring the phenomenon in my efforts to be a good scientist and stay away from the highly speculative fringe - especially fearing the implications to my career and professional reputation. Yet, it appears to have got my attention by coming to me, as it has done so to many others, and I have seen with my own eyes things I have not understood or fit within my normal notions of the conventional. This is therefore my word.

Influenced by this, and over grave concerns for global geopolitical events, I was moved into action. I saw what appeared to be an incendiary push by certain nations to promote war between the West and Russia. The significant escalation of tensions was clearly building to a point where the media were openly discussing the prospect of World War 3 and it particularly concerned me that they appeared to do so in a state of excitement, rather than horror, and were not holding our governments to account but more like singing their song. I believe this was a real concern, especially since from an outside perspective it appeared that elements within the United States (a country that I love) and its allies seemed to desire that outcome.

In October I took the unprecedented step of writing a letter to the leaders of the five permanent members of the UN Security Council urging a more peaceful path. The only country that responded to me was the Elysée Palace in France under President Macron, who does appear to have attempted peaceful settlements for which I will at least acknowledge. <Read Letter Here>. The remainder ignored my letter, illustrating how the leaders of our different nations are so removed from the people they claim to serve. I even took the extraordinary step of sending my letter to the King of Great Britain and directly to the UN. Perhaps I was being naïve, to think that I could influence their actions, but if we are to create a world where all nations co-exist in peace then each person must at least try. Whilst as a Scholar my trade is the use of the intellect, I am also moved by the heart and extremely concerned for the future of the children of this world.

It is my opinion that the public are in no danger with these drones in New Jersey and beyond. The majority of them are human made drones, and many launched by the US Federal agencies and the remainder is people seeing aircraft and mistaking them for drones. But the reason the government drones are there in the first place is to understand and intercept what is the presence of a phenomenon for which they do not comprehend, and neither do they control. It is my humble opinion that those objects are there to prevent humankind from a self-destruction of its own making and maintain the pristine planetary environment of Earth that we all so adore. By their existence, they force our leaders to pause and make themselves visible to us so that ‘we’ the wider public may be aware they exist, which puts more pressure on our leaders who then have to answer questions about them; since they may already be aware of their existence but may not want that knowledge to be public to others. By the intervention, they have stagnated the rush towards war, and I believe that is the efficacious intention, especially during a Presidential transition and where the world stability hangs by a piece of string due to nefarious intentions. A Third World War that goes nuclear you will not be permitted to begin and all those that rush towards such a destination should take note.

To those in power, you cannot stop them, and neither should you try, for although they may appear diminutive, we are impotent in their presence. I do not feel they have any malicious intentions towards us, but your pernicious actions and decisions have caused grave concerns that go beyond the interests of this world. To others I say do not be alarmed. Be excited and filled with joy, that the hazardous actions of our global leadership class have been paused so that we may be safe and can continue towards a future trajectory that is filled with optimism. For as a human species we were at a crossroads, and had they not intervened, I believe we may have been living in a rubble of ash, dirt and the cries of the fallen children, where beauty is but a memory once told and the light of incandescent hope decays to a darkness where even shadows don’t form. Such a future must be rejected at all costs if the light of human consciousness is to continue to shine out to an extraordinary cosmos.

I will finish by stating that I do not know the true origin of these objects and it would represent mere speculation by me. Based on what I have personally seen I believe we are likely in the presence of something that has an intelligent nature and through that also arrives the dissolution of the Fermi Paradox. Perhaps they are something way beyond our level of technological maturity. Perhaps they are visitors, or perhaps they have always been with us. We can only speculate. Yet having seen them for myself on numerous occasions, I am not alarmed but filled with joy at the broader implications for what may come as the nations of the world strive towards a more peaceful and prosperous union since we are one humanity after all. Wishing everyone a Happy Christmas, everyone on the good Earth.

Kelvin F Long BEng MSc PhD FBIS CPhys

Aerospace Engineer, Astrophysicist, Author

The Fermi Paradox Narrative?

Contact with intelligent life from another star system (or elsewhere) would be one of the most profound moments in human history. It would have deep impacts on our social-cultural, political-economic, scientific-technological, religious-philosophical perspectives. It would be both a source of joy and excitement, but also concern about what it may imply for our place in the grand scheme of the Cosmos, as well as species-species interactions.

This has been well recognised for some time. For example in the 1960s the Brookings Institution published a report where they recommended: “Certain potential products or consequences of space activities imply such a degree of change in world conditions that it would be unprofitable within the purview of this report to propose research on them. Examples include a controlled thermonuclear fusion rocket power source and face to face meetings with extraterrestrials” [D. N. Michael, “Proposed Studies on the Implications of Peaceful Space Activities for Human Affairs”, A Report Prepared for the Committee on Long-Range Studies of the NASA, by the Brookings Institution, December 1960.]

The Fermi Paradox has emerged as a dominant framing device for discussions surrounding the potential existence of Extraterrestrial Intelligence (ETI) in the Universe. History tells us that a famous lunch took place circa 1950 at Los Alamos in New Mexico in which the brilliant physicist Enrico Fermi asked the question ‘Where are they?’. This was an apparent reference to the theoretical prediction that they should be here by now yet our observations do not detect them, giving rise to a contraction between our expectations and our experiments - otherwise referred to here as a Paradox.

We can look at the problem by examining two extremes, and then everything else in between. These two extremes are that we are the only intelligent life in the galaxy, or that we live in a crowded galaxy. The idea that we are the only intelligent life in the galaxy, and therefore the first intelligent life to arise in the galaxy, has been argued by many. This includes Viewing [“Directly Interacting Extraterrestrial Technological Communities”, JBIS, 28, 735, 1975] as well as Hart [“An Explanation for the Absence of Extraterrestrials on Earth”, QJRAS, 16, 128, 1975] and Tipler [“Extraterrestrial Intelligent Beings Do Not Exist”, QJRAS, 21, 267, 1980]. We might refer to this as Hart-Viewing Chauvinism.

The idea that we live in a crowded galaxy, has been argued by authors such as Shklovskii and Sagan [“Intelligent Life in the Universe”, Holden Day, 1966] and also Sagan and Drake [“The Search for Extraterrestrial Intelligence”, Sci.Am., 232, 80, May 1975]. Bond and Martin examine these two extremes succinctly in their paper [“Is Mankind Unique? – The Lack of Evidence for Extraterrestrial Intelligence”, JBIS, 36, pp.223-225, 1983]. We might refer to this as Drake-Sagan Chauvinism.

Enrico Fermi died in 1954, and I am not aware of him talking about the topic in any of his published writings. So all we have to go on that this discussion took place was the word of the witnesses who were apparently present at the meeting and recounted it later. This includes the nuclear physicists Edward Teller, Emil Konopinski and Herbert York. It also includes a retelling by Hans Mark, although he was not present during the original meeting and only heard the story whilst at Los Alamos and it is unclear why such an apparently light hearted discussion would attain the status of a generational mythological story.

Indeed, our only evidence that the conversation ever happened comes from those that wrote about it years later such as by Eric Jones in his 1985 article [E. M. Jones, “Where is Everybody? An Account of Fermi’s Question”, LANL, 1985], and his correspondence with those that attended. In fact, the term ‘Fermi Paradox’ did not enter into widescale usage until around 1975 onwards. [A. R. Martin, “The Origin of the ‘Fermi Paradox’, JBIS, 71(6), 200-206, June 2018.]

Enrico Fermi

The conversation is interesting, because it is strange that in the 1980s these physicists remember it so well. When according to Teller “there was a conversation which I believe to have been quite brief and superficial on a subject only vaguely connected with space travel”. So why then did Teller seem to remember it if it was not an important conversation, so many decades later? Teller continued “We then talked about other things which I do not remember and maybe approximately eight of us sat down together for lunch”. Apparently Konopinski and York were quite certain that there were only four of them. Teller also states “We then talked about other things which I do not remember….I think it was some down-to-earth topic”. So why did Teller (and others) remember this conversation with Fermi but none of the other conversations? Especially when he himself down plays the importance of the conversation. I find this an inconsistent accounting of the meeting.

Teller further states “I do not believe that much came of this conversation, except perhaps a statement that the distances to the next location of living beings may be very great”. In his reply to Jones, Konopinski says “More amusing was Fermi’s comment, that it was a very reasonable theory since it accounted for two separate phenomena: the reports of flying saucers as well as the disappearance of the trash cans”. The main cartoon from the New York newspaper that discussed this matter is shown at the top of this article and is one of the ways that the discussion was dated to the summer 1950.

Although a comment that others may interpret to be intended in jest, this perspective was backed up by Fermi’s answer to the probability that within the next ten years we shall have clear evidence of a material object moving faster than light: Teller said “I remember that my answer was 10 to the minus 6, Fermi said ‘This is much too low. The probability is more like 10 percent”. This is actually a consistent picture of Fermi’s view. On the one hand his theoretical prediction was ‘they’ should be here. On the other, he appeared to assign a 10% probability to an observation of them by circa 1960. Yet this is not how history seems to reflect this discussion. History instead has recorded the Fermi question as ‘Where are they?’

The matter is seen through the lens of jovial comedy and that in some way an underlying premise of Fermi’s position was that they are not here now. But if one reads the account of Fermi’s words by Teller it is clear this is not what he said. Fermi said it was a very reasonable theory. Also according to York, Fermi had concluded that on the basis of such a calculation that we ought to have been visited long ago and many times over. Contrary to how the event is remembered, by these accounts, Fermi was not saying ‘Where are they?’ he was saying that the ideas they are here is reasonable.

Although the term Fermi Paradox has its origins in 1950, it did not enter into common use until the mid 1970s onwards. Although one can find discussions of the same idea without reference to Fermi, such as by the astronomer Carl Sagan in the 1960s [I. S. Shklovskii and C. Sagan, “Intelligent Life in the Universe”, First Published 1966].

Then in a paper published in 1975 by Viewing the two term’s ‘Fermi’ and ‘Paradox’ were used in the same sentence which is arguably from here that the term then became codified into popular culture. [D. Viewing, “Directly Interacting Extra-Terrestrial Technological Communities”, JBIS, 28, 735-744, 1975].

From this we can conclude the following facts:

  1. Fermi had apparently expressed the view that the idea of ETI being here now (circa 1950) was a reasonable theory.

  2. Fermi had expressed the opinion that by circa 1960 there was a 10% chance we would observe an object in the sky moving at ftl speeds; although he also suggested that such a value would constitute the equivalent of a ‘miracle’.

  3. The Fermi Paradox as a phrase did not enter into use in popular culture until at least 1975 but more widespread later.

  4. Since Fermi died in 1954 we have no testimonial from him about this 1950 conversation or what his actual views on the question were.

  5. We are reliant on the memory (circa 1984) and testimonials of Teller, Konopinski and York and then the efforts by Jones to pull all this together.

Following these events, the SETI Institute was arguably formed around the phrasing of this paradox as a starting premise and was founded some years later in 1984 by Jill Tarter and Thomas Pierson. It was also built on the work of pioneers like Frank Drake who first wrote down the Drake equation in 1961 and served as the President of the board of trustees for the SETI Institute when it was first founded after he moved to the University of California at Santa Cruz. Historically this author has had a lot of respect for SETI researchers and has attended some of their meetings at the International Astronautical Congress for example. Indeed I have had the pleasure of meeting both Frank Drake and Jill Tarter, two of the pioneers of the subject, having been inspired by the subject matter.

Although, as a researcher into the related subject of interstellar studies, where I mostly look at the possibility of robotic interstellar probe design, I always found them to be somewhat distant from me and I would not describe the interactions as over friendly. I felt very much an outsider, and I could never quite work out why. For example, I sat in on one of their meetings at the Breakthrough Listen project in San Francisco and raised what I think were reasonable view points about alternative detection strategies, only to be answered by silence, or an unwillingness to engage with me and this has been my consistent experience. Having considered this at the time, my assumption was this was a funding issue, perhaps seeing the interstellar studies movement as a competitor to SETI funding, in a tight fiscal climate. Particularly since there is strong competition for instrument time and so any ideas which are far out of the existing orthodoxy are less likely to be selected.

Yet, upon reflecting on this I feel the issue may be much deeper and this gives me some pause for concern. A factor that has guided this thinking is the way in which the SETI community seems to have responded to Professor Avi Loeb in his attempts to seek out evidence for life and intelligence nearer to home (Avi Loeb, “Extraterrestrial, The First Sign of Intelligent Life Beyond Earth”, John Murray, 2022). I also have a lot of respect for Avi and all he has achieved, although I have also had my differences with him, and I worked with him closely on the Breakthrough Initiatives Project Starshot. In particular, I don’t feel that his representation of the scientific community on podcasts and to the media at large as being closed minded as entirely fair and I have expressed this to him personally. What he might see as closed minds, I feel others would argue is a higher standard of objective rigour. That said, I am starting to come around to seeing his perspective based on how the SETI community seems to have responded to his efforts with the Galileo project. I would also note that Avi does at least write up his research and seek to publish in peer reviewed journals, so he is following the scientific method, putting his work out their in an open and transparent way for others to scrutinise and/or criticise if they so wish [Avi Loeb et al., “Chemical Classification of Spherules Recovered from the Pacific Ocean Site of the CNEOS 2014-01-08 (1M1) Bolide”, Chemical Geology, 670, 20, 122415, 2024].

My main research has been in interstellar studies. I have produced many papers, books, and participated in several television documentaries around this subject. I have also been involved in the founding or co-founding of several companies in the UK and US in relation to this subject. This includes Icarus Interstellar, Initiative for Interstellar Studies, Institute for Interstellar Studies to name some. I have also worked with other interstellar organisations quite activity, such as the Tau Zero Foundation, The British Interplanetary Society, Tennessee Valley Interstellar Workshop (which now calls itself the Interstellar Research Group). I was also a prominent member of the winning team for the NASA/DARPA 100 Year Starship competition only to find myself not enjoying any of the spoils of the win, with devastating consequences to myself and my colleagues at the time.

I have also participated in many cool projects, including serving on the Breakthrough Initiatives Project Starshot advisory panel to send a gram-scale probe to the nearest stars using laser sails. This includes a Johns Hopkins Applied Physics Laboratory effort to design a 1,000 AU probe for a Decadal study. This includes an International Academy of Astronautics Commission 3 study into a 200 AU probe. This includes instigating the British Interplanetary Society Project Icarus, a design into a advanced fusion propelled rendezvous interstellar probe as a redesign of the historical Project Daedalus.

The SETI community has historically been mostly focussed around the idea of long distance messaging, such as picking up radio signals from a distant civilisation in deep space. It has consistently showed no interest in the possibility that life may have been here or is here today; although I will offer the caveat that recently some members participated in a NASA workshop on technosignatures which might indicate a change of perspective with a new generation [Jason Wright, “NASA and the Search for Technosignatures”, A Report from the NASA Technosignatures Workshop September 2018].

In terms of the idea that intelligent life may be here already, its members actively ridicule the possibility. If anyone claims an observation that might indicate some level of contact, they are immediately labelled with the tin foil hat brigade and by definition not welcome into the SETI club. This is effectively an unscientific culture that is not much different from religious dogmatism. It is therefore constructive to examine the narrative that studies in SETI are founded on; although I acknowledge this may be somewhat of a generalisation.

The field of SETI is largely based around two themes. The first theme is that life may exist close by to include on some of the celestial objects of our solar system (on Mars or one of the Moons of the gas giants for example) but if it does exist it is likely microbial in form. This is the domain of astrobiology, an important discipline of scientific knowledge but for which the potential for dialogue with another lifeform is not possible, since we cannot communicate to bacteria. This is not to understate the importance of a discovery of microbial life on another world from a scientific perspective, but its consequences to our society are limited. Arguably, a lot of NASA’s work in the search for life is focussed on the field of astrobiology.

The second theme is that intelligent life may indeed exist among one of the many stars of our galaxy (or another galaxy) but it is likely very (very) far away. This possibility motivates the search for emission signatures from long-distance communication systems. Since it takes a long time for radio signals to travel over thousands of light years distance, the potential for dialogue with one of those advanced civilisations is again made not possible, since we are out of space and out of time. Indeed, they may not even exist anymore.

There is a third theme which we should mention and this is also a major theme for which NASA and the ESA is involved, although it has only emerged in recent decades. That is the possibility of discovering exoplanets which are habitable systems upon which life may emerge and thrive. Since we have discovered over 7,000 exoplanets to date, one might imagine that evidence for ETI may be forthcoming since it would be difficult to contain any emission data from well-motivated astronomical observers. As our astronomical observing programme picks up, provided it is conducted in an open and transparent way, the potential for discovering ETI is at least more probable.

Arguably, since SETI has largely been a pursuit of astronomers, they may not be the best choice of practitioners if one wanted to consider the possibility of ETI existing on Earth or in nearby space. Indeed, we might instead refer to their community as the Astronomical Search for Extraterrestrial Intelligence (ASETI) with its emphasis on optical and radio telescopes. Particularly if this promotes a culture of rigidity over orthodoxy.

The first and second themes discussed above are two extremes which provide for a set of boundary condition on the solutions space for what is possible. In the figure below everything to the left of the green line is considered permissible for mainstream scientific enquiry.

In both the above two main themes there is absolutely no possibility of dialogue with ETI. Life is either very close but too primitive, or it is advanced but very far away; and by implication far back in time so may not exist anymore anyway. This is an unacceptable narrative that constrains the potential solution space and certainly appears to set out to neglect the possibility of intelligence being here now - even the possibility of it is kicked into the long grass. Yet, the suggestion of an ETI presence within or nearby to our Solar System is a perfectly reasonable hypothesis upon which to form a scientific research programme. That is also the basis of Arthur C Clarke’s “2001: A Space Odyssey” and the discovery of a Sentinel probe. The physicist James Benford has proposed searching for co-orbiting probes for example [James Benford, “Looking for Lurkers: Co-orbiters as SETI Observables”, The Astronomical Journal, 158, 4, 2019].

In a recent paper this author has demonstrated that with the rise of our technological astronomical machines, in addition to the maturation of our advanced propulsion technology, if any ETI exists within 100 - 200 ly of Sol, then first contact would occur within the next 100 - 200 years. By implication if they existed within 10 - 20 ly then contact would occur within 10 - 20 years. This analysis neglected the possibility of them being here as a thought experiment. [K. F. Long, “The Temporal Contact Equation: An Estimate for the Time of First Contact with ETI”, JBIS, 76(11), 279-282, November 2023.]

In another recent paper by this author, a calculation was conducted using the diffusion equation to show that if any advanced ETI civilisation constructs von Neumann machines, self-replicating AI probes, that it is possible for them to cover the entire galaxy in a timespan as short as hundreds of thousands of years. [K. F. Long, “Galactic Crossing Times for Robotic Probes Driven by Inertial Confinement Fusion Propulsion”, JBIS, 75(9), 118-126, September 2022.]. This was limited to transport speeds of order 0.1-0.15c based on a fusion propulsion capability. If ETI had access to propulsion technology that was much faster, especially approaching (or even exceeding the speed of light as in ftl) then the galaxy could be covered in a much more rapid time frame.

In an online video the physicist Freeman Dyson tells a sweet story of when he went to visit Enrico Fermi in Chicago to discuss some pseudo scalar theory of pions and how well or not they matched to experiment [see: ‘Fermi’s rejection of our work’ on You Tube] . Fermi was not impressed and quoted the physicist John von Neumann who had said “with four parameters I can fit an elephant, and with five I can make him wiggle his trunk” and on this basis Fermi did not find the numerical agreement with experiment profound. Seeing how von Neumann and Fermi think, one might borrow their reasoning and similarly articulate that with two parameters I can construct a narrative. Such a narrative is demonstrated in the figure of this post shown above.

In contrast to the left side of the green line, for the items in the bottom right corner of the green line in the figure appears to be considered out of bounds or the domain of the uninformed observer, the amateur, the uneducated, the ignorant, the fool or even the crazy. If anyone conducts research in this area or proposes search strategies along these lines, they can expect a barrage of ridicule to land at their door. This is especially the case for established scientists, where ostracization from the community awaits and so with it the possibility of research grant funding. This is an effective no-go area for scientists unless you want to have your work downgraded to science fiction.

To illustrate the level of fear, I myself was reluctant to post this article (and others and I am currently writing) because even now I am concerned it will lead to the rejection of research grants I am currently pursuing and desperately need since I am entirely unfunded and unsupported. This is my reality as a professional scientist, working in isolation. Yet as a scientist, our highest ethic must be the pursuit of truth despite the consequences this may bring.

Indeed, such a policy of ridicule would be consistent with the famous Robertson panel report in 1953 which due to fears over causing mass hysteria and panic over the possibility that the Russians might capitalise on any observed phenomena in the skies, after objects were reported by the general public. This report was published two years after the famous Fermi lunch and two years before his death. [H. P Robertson, “Report of Scientific Advisory Panel on Unidentified Flying Objects”, Convened by Office of Scientific Intelligence, CIA, 14 – 18 January 1953.]

It is certainly the case today that the SETI Institute, and the SETI community stays well clear of the bottom right corner of the figure above. ETI is never close if it is intelligent and neither should such a hypothesis be considered reasonable. Instead we see phrases in their articles like “in a distant galaxy far far away”. In discussions over aliens one will often see phrases from the media like ‘little green men’ as a term of derision. One only has to read a popular magazine article by a member of the SETI Institute or by the wider media to see this sort of language being used, often accompanied by laughing. Due to events in my personal life yet to be articulated, I feel it is necessary to call a spade a spade. To me, this feels like a propaganda campaign designed to promote a particular narrative that has acted to suppress original and creative scientific enquiry into the unknown.

Many years ago, circa 2013, Jill Tarter was quoted as saying at a San Francisco Science Fiction convention “The Starship is effectively impossible” by a reliable witness who was present at the meeting and informed this author who wrote the quote down. There is in fact hundreds of published peer reviewed technical journal papers by outstanding academics that shows the opposite is in fact the case going back as far as the 1950s [Les Shepherd, “Interstellar Flight”, JBIS, 11, 1952]; yet this research by highly qualified people is apparently ignored. This illustrates the mindset of an organisation that has historically focussed on a narrow solution space for the possibilities of intelligence in the Universe, but also actively controls the narrative. I personally find this behaviour, to effectively act as the Gate Keepers on any speculations about intelligent life, to be highly frustrating. Admittance of individuals into that community requires some degree of compliance to the narrative.

As a test, a proposal was also recently made to the SETI Institute by this author to pursue a research grant under this subject matter titled ‘Characterising Propulsion Emission Signatures from Advanced Technological Civilizations’. The grant was rejected without explanation or debrief. This is despite the fact that the subject proposal was reasonable, the amount of finance requested was small, and the author well qualified to undertake the research having published dozens of peer reviewed research papers relating to advanced propulsion. Even now, we still do not know who won the SETI Institute technosignature grants.

I simply wanted to propose a survey of the expected emission signatures from different types of propulsion engines and then on the basis of that make recommendations for astronomical surveys in terms of wavelengths, frequencies, energies, power. For example, if an advanced fusion engine or antimatter engine was operating within a light year of Sol, we had a chance of detecting it. It is also perplexing since the power spectrum associated with advanced propulsion systems is orders of magnitude higher than what we might expect from deep space communication systems [R. Zubrin, “Detection of Extraterrestrial Civilizations via the Spectral Signature of Advanced Interstellar Spacecraft”, Progress in the Search for Extraterrestrial Life ASP Conference Series, 74, 1995]. Therefore the rejection of such research is even more curious.

Although I will acknowledge that the window of using advanced propulsion systems may be limited, since any civilization that advanced to a high technological state may develop technologies way beyond these capabilities [N. S. Kardashev, “Transmission of Information by Extraterrestrial Civilizations”, Soviet Astronomy AJ, 8, 2, 1964].

To illustrate the dogma adopted by members of the SETI community, here is some content from a recent article published by Space.Com on 17th April 2024 where the SETI Institute Director Bill Diamond is quoted in reference to the UAP phenomena that is currently under discussions in US Congressional hearings: “The idea that the government is keeping something like this secret is just totally absurd. There’s no motivation to do so” and “We don’t have any evidence of any credible source that would indicate the presence of alien technology in our skies. And we never have”. Currently, there are active scientific studies to detect UAP phenomena under way [Wesley A Watters et al., “The Scientific Investigation of Unidentified Aerial Phenomena (UAP) using Multimodal Ground-Based Observatories”, Journal of Astronomical Instrumentation, 12, 1, 2023].

I will state for the record, and without breaching any national security oath, as someone that has worked on highly classified government programmes within the UK and US, that governments absolutely can keep secrets and Bill Diamond does not know what he is talking about. This mantra is often also adopted by the influential astronomer Neil deGrass Tyson and is utterly wrong and is an opinion expressed by people that never appear to have worked in government programmes of this nature.

Diamond further states: “Statistically speaking, every single star in the sky has one or more planets around it….That implies the existence of tens of billions of potentially habitable worlds in our galaxy alone…So indeed, the statistical probability that we are alone in the Universe is zero. Surely there is life beyond Earth”.

He further states: “But the presence, both in space and time, as well as proximity, of advanced alien civilizations is another matter completely. There are innumerable variables, all of which in the sciences of astrobiology, planetary science, astronomy and astrophysics, we are trying to figure out”.

So even with the most conservative assumption of one planet per star, Diamond admits that statistically the possibility of intelligence in the galaxy or beyond is high. Yet, despite admitting this, in terms of ETI being here today, he just won’t go there, and note that the emphasis is always on “Beyond Earth”. It has to be either close but microbial or intelligent but extremely far away and out of reach. He appears to be trapped within an oxymoron of logic in his own reasoning.

This presents a dichotomy where an institution exists that professes to search for intelligent life but does not give moderate funding support to proposals that have some chance of detecting it. It is also an institution that won’t even consider the possibility that ETI may be here today. This is a mystery wrapped in an enigma, sufficient to garner one’s attention as a red flag.

For sure, as scientists we must hold our objectivity. We must withhold jumping to any conclusions until the evidence that presents itself becomes undeniable. As the astronomer Carl Sagan once said “extraordinary claims, requires extraordinary evidence”. When claims are made we have to dig deeper into our scepticism and it becomes a battle between the heart that wants it to be true and the mind that intellectualises the parameters.

Yet, I have a feeling that very soon the SETI Institute is going to be the outsiders in the discussions about ETI if they do not open up to the possibility that not only may ETI have been here in the past, but they could be here now today. It is as if they are in a room and people are trying to tell them there is a huge elephant standing behind them and they just can’t see it….or they won’t see it….because that is not the narrative to be followed.

In a recent fund raising post the SETI Institute declared: “The SETI Institute continues to lead the charge in exploring the cosmos, driven by our shared curiosity and determination to discover what—or who—may be out there..”. It also claims on its web site that it is “the only research organization solely devoted to searching for and studying life and intelligence beyond Earth”. I think it is time this claim for being the leader in exploring the cosmos and discovering what/who is out there should be challenged. No doubt I am going to get attacked for this statement and I have experienced this before from followers of the SETI community, who surrounded me like a pack of wolves for merely daring to raise a criticism of their thinking. That is after all, the conduct of a cult following. But okay, as a scientist making statements in a public domain I accept that others have a right to defend themselves.

Despite my criticism, this author wants to acknowledge the important research that has been done by the bread and butter members of the SETI community over the years and this post should not be seen as a criticism of individual research papers which contribute to the entire debate over what may be possible. Those research papers have enormous value. However, I find myself asking about the framing of the discussion and whether this has been a deliberate strategy to control the narrative over the potential of an ETI presence on Earth today and for which may have held back scientific progress in the search for intelligent life.

I have not come to this conclusion lightly, but through much thought over many years of being a researcher in interstellar studies but also my interactions with the SETI community which I would not describe as particularly welcoming. This is also based upon personal objective observations that are yet to be articulated in the public domain but I intend to do so in the near future. Elephants indeed! I end this post by stating my view clearly, that the SETI Institute is wrong to deny the possibility that there may indeed be an ETI presence today and I would suggest it starts considering this possibility if it aims to remain relevant, giving what is likely over the horizon in the very near future. For it is my stated opinion, that the truth may already be at our door.

The Fermi Parameter

Life on planet Earth has taken many millions of years to evolve to the complex life-forms that characterise Homo sapiens with all its intelligence and associated technological tools. Yet, for centuries, astronomers have speculated that it may be possible that intelligent life exists elsewhere, and this search has informed some of the motivations for our national space programs. Life may have evolved from the same primordial soup and simply been transmitted from one world to another, such as during planetary collisions during the early stages of the Solar System formation, or it may have separate points of evolution that are independent from each other. A discovery of life representative of a separate biogenesis from Earth would be one of the most profound moments in the history of the scientific endeavour.

This search has become more poignant in recent years since the discovery of thousands of exoplanets around other stars thanks to amazing astronomical observatories like the Hubble Space Telescope, the Kepler Space Telescope and the James Webb Space Telescope. These observatories and others that succeed them are sure to change our perspectives on models of planets, stars and life in the Universe as their sensitivity and resolution improves with each decade of technological development. In our search for planets around other stars we have discovered Hot Jupiter’s, Super Earth’s, tidally locked planets and they range in compositions from mostly iron to mostly water. It seems only a matter of time where instruments like this will be able to directly image exoplanets around other stars and fully characterise their atmospheric composition and possible evidence of technological industrialisation.

Fundamental to the arguments regarding life visiting our solar system is the Fermi paradox, which asserts that there is a contradiction between our theoretical expectations for intelligent life emerging in the Universe and our apparent lack of observations to confirm it has indeed done so. The calculation for such a prediction is based on the number of galaxies, stars, and planets, their measured ages and spectral types when compared to the solar system from which we originate. From a statistical basis, a calculation of probability suggests that we are not special but perhaps typical of an average system that might evolve.

It is perhaps constructive to consider the Fermi Paradox in terms of two factors so that any paradox is quantified numerically. There is a measurement M. Then there is a Theoretical estimate T. We can define both M and T as the measured or predicted number of independent intelligent civilisations to exist within 100 LY/1 million years, or a similar sort of scaling. We can then define the Paradox as a ratio between these two factors in what we may define as a Fermi Parameter

F = M / T (1)

This then presents three possible scenarios. When M > T, then F > 1 and in this scenario, there would be more ETI civilisations observed than we expected from theoretical predictions. When M = T, then F = 1, and there is no paradox since the number of observed civilisations is consistent with our theoretical predictions. However, when M < T, F < 1, this is when the number of measured ETI civilisations is less than expected from theoretical predictions. This is in fact the current paradigm accepted by mainstream science, in that it is the position we have only observed one intelligent civilisation (humanity on Earth) and yet estimates of our theoretical predictions (such as using the Drake equation) suggest there should be more. In fact, one might go further and argue that according to the current paradigm M << T, and so F << 1.

Yet we can take this a step further and consider the addition of uncertainties associated with both the measured and theoretical parameters in our attempt at quantification. There is a measurement M which has an uncertainty δm. Then there is a Theoretical estimate T which has an uncertainty δT. Then rewriting the Fermi Parameter to include the uncertainties we get the following

F = (M +/- δm) / (T +/- δt) (2)

To make any analysis simple, we can take the special case of values for M, T, δm, δt close to unity and not large deviations thereof. This is done to facilitate the visualisation of the potential solution space. For the scenario of the currently accepted particular paradigm M = 1, but we are attempting to look at the more general case here.

To illustrate with an example. Imagine that the measured was determined to be M = 5 but with an uncertainty of δm = ± 2. Now imagine that the theoretical was determined to be T = 10, but with an uncertainty of δt = ±1. In this scenario M < T and δm > δt. Then calculating

F = (5 +/- 2) / (10 +/- 1) = (3 < F < 7) / (9 < F < 11) ==> 3/7, 3/9, 7/9, 7/11 (3)

We note that in all these solutions F < 1, since the number of measured ETI civilisations would be less than what our theories predict. This is a hypothetical scenario since in reality once we discovered other civilisations this would lead to a revision of our theoretical models to bring them into parity. However, we must consider here that T is a theoretical model prior to the latest measurement.

The figure below shows the different models that can arise from this sort of thinking, where the Measurement M is plotted against the Theoretical prediction T, but both with uncertainty error bars on the prediction.

The figure below shows a summary of the possible solutions and how they compare to each other. The point of presenting this data is to illustrate the different solutions and that to narrow the solutions it would be constructive to focus on the quantification of our theoretical predictions and our measurements, so that this may lead towards a narrower range of solutions that we may focus on. The uncertainties may be systematic or random in form.

In terms of the measurements, the nature of the uncertainties is the limitations on the detecting equipment, what data they are filtering and how it is being processed. Whether scientists are even looking at the right type of data, or neglecting others. Therefore, the main uncertainties are likely to be physics and engineering based. In terms of our theoretical predictions, the nature of the uncertainties is in our definitions for life and intelligence and what we understand about systems that can organise. Therefore, the main uncertainties are likely to be biologically based.

For both the measured and theoretical uncertainties they will be informed by our prior expectations and if it is the case that MT, then it is likely that to close this one of our prior expectations must be revised. In particular, a prudent strategy would be to broaden our measurement range outside of the current domains of observations, but also to broaden our definitions for life and intelligence. Yet, there appears to be resistance to doing either.

One example of an alternative idea to definitions of life originated in 1944 with the physicist Erwin Schrödinger who wrote in his book ‘What is Life?’: “living matter, while not eluding the laws of physics as established up to date, is likely to involve other laws of physics hitherto unknown which however once they have been revealed will form just as integral a part of science as the former….life can be defined by the process of resisting the decay to thermodynamic equilibrium”..

A sensible strategy would be to list the source of uncertainties within the measurements and theoretical predictions and then attempt to quantify them. Through using normalised units, it would then be possible to state them relative to a unity value and so then the source of the Fermi Paradox could be identified as dominated by measurements or theoretical models. This would then promote research in these two areas and therefore close the gap.

If over time the uncertainties in the measurements can be minimised to a negligible value, then this would imply a major rethink on our theoretical models, such as definitions for life and how it may form in different types of environments. If instead the uncertainties in the theoretical models can be minimised to a negligible value, then this would imply a rethink on the sorts of measurements we conduct with our experimental detectors that allows us to rule out the existence of ETI. From this author’s perspective, it is curious that this attempt to close the Fermi Paradox through the quantification of uncertainties has not been pursued previously and is suggested as the subject of a major research effort.

ET Contact and Multilateralism

The article below was recently published on the Centauri Dreams web site on 4th October 2024 under the subject lines of astrobiology and SETI. It is published again here as an additional record of the article.

Advancing Space Technology and Preparing for Contact with Extraterrestrial Intelligence through Multilateralism

by Kelvin F Long

As humanity reaches further out into the Cosmos through our long-range astronomical instruments and also robotic probes, our presence is sure to be noticed by any hypothetical extraterrestrial intelligence (ETI) that may also exist. Yet the development of our technology is not without complications given the potential dual use. Since it involves large powers and energies, this especially includes that any space propulsion machine can also be turned into a weapon. If ETI does exist then they will surely be mindful of how we use this technology and attempt to gauge whether we will bring peace and prosperity to any life in the Universe, or modes of destruction. Given this scenario, it is reasonable to consider that any civilisation that reaches a certain level will reach a point where they will be either permitted to continue in their advance outwards, or potentially face stagnation by clandestine means. It is argued that since within decades we are likely nearing this point of paradigm shift in space technology, the monitoring of our civilisation should be expected currently. In the near future we should prepare for the eventuality that we will either be greeted by intelligence from another world or forced to be restricted within a permanent zoo that constrains us to the Solar System. Preparing for this, such as through reforms of institutions like the United Nations, should be a key component of our nation state relationships through a moral and legitimate multilateral approach to problem solving, but also our exploration roadmaps.

Keywords: Extraterrestrial Contact, United Nations

Introduction

Life on planet Earth has taken many millions of years to evolve to the complex life-forms that characterise Homo sapiens with all its intelligence and associated technological tools. Yet, for centuries, astronomers have speculated [1] that it may be possible that intelligent life exists elsewhere, and this search has informed some of the motivations for our national space programs [2]. Life may have evolved from the same primordial soup and simply been transmitted from one world to another, such as during planetary collisions during the early stages of the Solar System formation, or it may have separate points of evolution that are independent from each other. A discovery of life representative of a separate biogenesis from Earth [3] would be one of the most profound moments in the history of the scientific endeavour.

This search has become more poignant in recent years since the discovery of thousands of exoplanets around other stars thanks to amazing astronomical observatories like the Hubble Space Telescope, the Kepler Space Telescope and the James Webb Space Telescope. These observatories and others that succeed them are sure to change our perspectives on models of planets, stars and life in the Universe as their sensitivity and resolution improves with each decade of technological development. In our search for planets around other stars we have discovered Hot Jupiter’s, Super Earth’s, tidally locked planets and they range in compositions from mostly iron to mostly water [4]. It seems only a matter of time where instruments like this will be able to directly image exoplanets around other stars and fully characterise their atmospheric composition and possible evidence of technological industrialisation.

In a recent article published in Nature Astronomy, Crawford and Schulze-Makuch [5] has argued that it is likely that the apparent absence of Extraterrestrial Intelligence (ETI) in our solar system might be explained by a form of zoo hypothesis [6] in action around the emerging human civilisation. They argue it is either that, or we are the only intelligence that exists in the galaxy, and possibly in the Universe. This would be unsatisfactory since it would imply a special observer position for planet Earth in contradiction to a Copernican principle of cosmology.

Fundamental to the arguments regarding life visiting our solar system is the Fermi paradox, which asserts that there is a contradiction between our theoretical expectations for intelligent life emerging in the Universe and our apparent lack of observations to confirm it has indeed done so. The calculation for such a prediction is based on the number of galaxies, stars, and planets, their measured ages and spectral types when compared to the solar system from which we originate. From a statistical basis, a calculation of probability suggests that we are not special but perhaps typical of an average system that might evolve.

Even if a zoo containment policy was not in action by ETI around our solar system, assuming they exist, they would be wise to at least monitor our activity. In the future it is possible that we will send a robotic probe towards the planets of another star. Since the average distance between stars is 5 light years, any flyby probe crossing this distance in less than a century, would have a velocity of order 0.05c or 15,000 km/s which would have significant kinetic energy associated with its motion.

The Trinity nuclear test in July 1945 had an associated yield of 25 kilotons TNT equivalent, or around 100 TJ. An object with this energy travelling at a speed of 0.05c would only have to have a mass of around ~1 kg. A much larger mass, let’s say of order 1 ton, for the same velocity would have an associated energy of 112,300 TJ or approximately 26,900 ktons TNT equivalent which is around 1,100 Trinity events. Therefore, any probes sent from our solar system towards a potential habitable exoplanet would be of grave concern to any observing ETI. If a probe is able to be decelerated into orbital velocity this may put at rest some concerns and reassure its scientific nature, but before any deceleration takes place the probe would first travel the majority of the distance at the determined cruise velocity and therefore still require careful scrutiny of its intention and trajectory.

Reversing roles, if we detected an emerging species from a nearby star system that also appeared to be technological, in terms of them maturing to an advanced space capability we might also wish to characterise the threat level. Borrowing ideas from how such threats are categorised by nation states we might determine as: Green: Low threat, intention appears to be benign; Amber: Moderate, intention appears benign but advise caution subject to more data; Red: High threat, actions by ETI indicate a threat to humanity is likely. Indeed, we were potentially treated to such an opportunity in 2017 with the arrival of the interstellar asteroid ‘Omuamua, the nature of which remains controversial today [7].

An analogy for ETI observing humanity’s technological developments is the allied monitoring of German nuclear experiments during World War II. Particularly after 1938 when Otto Hahn first discovered nuclear fission and the creation of the ‘Uranium club’ to investigate the military benefits of a nuclear chain reaction. This effort by Germany prompted the creation of the Manhattan project in the United States, to construct the world’s first atomic bomb. Clearly Germany was seen as a significant global threat at the time.

The problem with any such categories is that threats come in many forms and can be intentional or unintentional. In addition, it is difficult to assess the impact on the development of a society by simply exposing them to a simple piece of knowledge or a technology. This has been well recognised by our own society since at least the 1960s with the publication of the Brookings Institution report which stated: “Certain potential products or consequences of space activities imply such a degree of change in world conditions that it would be unprofitable within the purview of this report to propose research on them. Examples include a controlled thermonuclear fusion rocket power source and face to face meetings with extraterrestrials” [8].

Imagine for example, if we went back in time and communicated to Stone Age people that stars were other suns. That innocent piece of information may have profound implications on social-cultural development and give rise to new philosophies. Alternatively, imagine if we gave them an item as innocent as a single wood nail. What inspiration and technological spin-offs would that promote now that they had been exposed to the broader possibilities?

In his famous physics lecture serious the physicist Richard Feynman imagined that there was a cataclysm and all scientific knowledge was lost or destroyed and he asked what one sentence would you want to be passed onto the next generation so that they could build up science and civilisation again. He opinioned that it was the “atomic fact, that all things are made of atoms…In that one sentence, you will see, there is an enormous amount of information about the world, if just a little imagination and thinking are applied” [9].

Now imagine that if ETI was to come here in a spacecraft propelled by technology which, to quote Arthur C Clarke, appeared to be “indistinguishable from magic” [10] to our eyes, since it was based on principles of physics we were yet to discover. It’s possible they would share that technology with us, but even if they didn’t, we might attempt to steal it. Alternatively, even if they refuse to discuss it, now that we have seen it, it will promote research programs in our society that one day leads to its maturation. In other words, the mere seeing of a new phenomenon is enough to spark interest from a curious species that may lead to its eventual creation here. A few years ago, this idea was suggested as a physics postulate by this author where “No information can be contained in any system indefinitely” [11].

In the television series Star Trek they codified these sentiments into an effective Prime Directive [12]. For this reason, any ETI would be concerned about contaminating our species with knowledge or technology and this would be a prudent reason to keep at a distance. Yet also, if they decide we have hostile tendencies as a part of our nature, they would be mindful not to give us any advantage scientifically which could accelerate our development and so increase the potential threat to them.

In general, it would be prudent to speculate when might ETI be most concerned about a human presence in space and therefore warrant actions to mitigate our excess and reach? Since our progress in space is primarily driven by our technological capacity, our advance with science and engineering machines would be of primary importance and at some point, we would reach a peak of maximum interest and therefore a decision point upon which to take actions over our continued activities in space. This is arguably becoming more important since our technological level is rapidly approaching the point where interstellar missions may become possible in future generations since the science case for making the journey is compelling [13].

Indeed, this author has previously estimated that if there are any ETI civilizations within 200 light years distance then first contact may potentially occur any time in the next 100 – 200 years [14]. This is on the basis that technology advances at a certain pace of generations with increasing levels of performance, to eventually maturate to the required level to achieve a given mission over a set distance at a minimum cruise speed. For example, a mission to the nearest star Proxima Centauri at 4.3 light years in 100 years trip time would require a cruise speed of 0.05c, which is a factor ~150 times what we could do in space today with our most advanced propulsion technology, which suggests at least two orders of magnitude improvement required in our current technological state of art before the interstellar mission becomes feasible.

Detecting Emissions

The evidence to support or refute any solutions to the Fermi Paradox by long-range observations depend on our ability to detect emissions from deep space that might demonstrate technology use, such as through deliberate communication transmissions or on accidental release of power and propulsion signatures that might indicate an ETI presence. The detection of emission signatures from space as potential evidence for ETI has been discussed extensively by the astronomer Carl Sagan [15].

Historically all efforts towards the Search for Extraterrestrial Intelligence (SETI) have been focussed on the detection of transmitted radio communications. One of the factors that has influenced this program is the previously believed position that messaging through radio waves (or lasers) is cheaper when compared to sending reconnaissance probes [16], but this is no longer necessarily the case thanks to innovative programs like the Breakthrough Initiatives Project Starshot [17].

In recent years however the perspective on messaging is changing and there is an increased emphasis of technosignatures [18]. This is especially important since the power spectrum emissions of any propulsion technology would likely be several orders of magnitude higher than any transmitted communication signals through radio waves [19].

Since astronomers rely on the detection of natural astrophysical emissions to inform their physical models, it follows that any artificial emissions would also be detected by those same astronomers, so that they could be analysed for either their natural or artificial nature. Therefore, to contain human civilization, to include our awareness of an ETI presence in the galaxy, any artificial emissions coming towards our solar system would have to be filtered by them before arriving at our detectors.

Any filtering would also have to span an enormous range. Diffuse hard x-ray emission from the gas giant Jupiter has been measured at 3.3×10^15 erg/s [20]. A recently discovered supergiant x-ray transient XTE J1739-302 was measured with a luminosity or radiated power of 10^36 erg/s [21]. A typical supernova at its maximum brightness might have a luminosity exceeding 10^43 erg/s, which is a billion times that of the Sun in our own solar system. A Black Hole binary reached a peak gravitational wave luminosity of 3.6×10^56 erg/s [22].

The power spectrum from an advanced propulsion fusion engine might be characterised by around 10^22 erg/s which would correspond to around 10^15 W propulsion jet power, appropriate for a vehicle motion in the range 0.1-0.15c [23]. There are in fact a range of ideas for space propulsion that have been proposed in the literature, from sails to beamers [24], fusion [25] to antimatter [26], relativistic ramjets [27] to space-drives [28], Unruh radiation drives [29] and other methods [30, 31]. To make significant progress, research is required on all of the physics and engineering concepts derived by human imagination and then appropriate links to physics effects in order to estimate the range of emission properties. This includes going beyond known physics and even into the speculative fields of space-time drives or warp drive [32] and wormholes [33], using the tools of General Relativity theory.

How do we distinguish in our models between the discovery of a new astrophysical object and the spectrum from an artificial source such as a power and propulsion technology indicative of industrialisation by ETI? Our interpretation of any data depends strongly on the accuracy of our scientific models to describe physical phenomena in astrophysics but also the physics and engineering of advanced spacecraft machines and how they operate [34].

If a zoo containment policy of our solar system and humanity were in place by ETI, then this raises the question of how this would be practically policed, and a basic analysis of the requirements suggest that it would in fact appear to be rather impractical. Indeed, if we imagine a containment zone around our solar system that was a hollow sphere of radius 100 Astronomical Units, this will have a shell volume of ~2.81×10^29 m^3.

If we then assumed that any artificial megastructure that made up this filtering material was only 100 m in thickness and assumed a light but smart microporous and transparent optically thin material, perhaps similar to silica aerogel, with an average density of 20 kg/m^3, which can survive in space environments whilst maintaining its strength. This then would require a perimeter shell mass of around ~5.62×10^30 kg which is approximately ~3 times the mass of our own sun. It would also be noticed gravitationally since it would influence the planetary orbits, and it would need an ability to self-adjust its position to prevent drift.

The use of any material density beyond the one assumed here, such as for metals, would significantly increase the megastructure mass of such a perimeter. If such a material was acting as an emissions filter, the internal matrix of the substance would have to be designed in some way to block out artificial signatures but permit the transmissibility of natural signatures from astrophysical sources to not alert us to the strategy in operation.

In addition, since the presence of our civilization is continually increasing through our robotic probes, the diameter of the wall must be enlarged periodically or altered in some way which may require in-situ management. But then if it is allowed to expand what would be the limit of the containment policy? The barrier would also have to be dynamically operable to allow the passage of long-period comets on eccentric orbits or interstellar objects like ‘Oumuamua [35] and 2I/Borisov [36] to get through and enter our solar system. Instead, perhaps their arrival itself represents evidence that falsifies a containment barrier?

The shell would also have to have a temperature less than the 2.72 K cosmic background microwave radiation, and probably close to 0 K, to prevent its detection through thermal imagers, and so that it did not absorb any energy from its surroundings due to its high transparency. Since it surrounds a star, there is a risk of it trapping the energy from that star in a manner similar to a Dyson sphere, and so any energy passing through it from the star could not undergo attenuation and must be fully transmissible. We might refer to this as a Kelvin shell due to its thermodynamic constraints. It would be manifest of a perfect crystalline material with minimal amorphous material inclusions.

Currently, the Voyager probes launched in 1977 are at a distance of 136 AU for Voyager 2 and 165 AU for Voyager 1 respectively. Since they have apparently been allowed to pass well beyond the 100 AU distance of our solar heliosphere and are also still transmitting science data to the Deep Space Network, this implies that if any such containment wall were in place, it would have to be much further out, and perhaps well into the Oort Cloud. This would then allow for another century or so of human expansion into space as our probes become more sophisticated technologically.

The above physics and engineering requirements illustrate why zoo containment via a physical shell would be problematic and at first glance it could be argued that the lack of finding such a structure may be seen as a partial falsification of the zoo hypothesis. Clearly this would be a project for an advanced technological civilization that goes way beyond the current state of art for human technological maturity and likely implies a high Kardashev level [37] to construct such a large megastructure if indeed it were ever possible.

Alternatively, there is no containment wall and instead it is an artificial boundary that is in some way policed by ETI probes to monitor what we send out there. But then this does not solve the problem of how to prevent us from detecting the presence of ETI in deep space through our astronomical observatories; unless their cloaking and propulsion technology is so advanced that it is beyond our present comprehension. For example, they could have an ability to dampen electromagnetic and gravitational waves as they move across the Cosmos and head towards us; although it is difficult to imagine how this would be completely impermeable. Overall, this implies a contradiction in our understanding and logic for how we are framing the Fermi Paradox within a zoo hypothesis.

It is possible that ETI exists in abundance, but they have made a joint decision not to engage with humanity or to release evidence of their existence and so this results in a null contact. They continue to remain in a stealth mode and do not share any information with us and only keep us under continued observation for their own security. But the technology used in their engines would have to be based on principles so advanced of our science that emissions such as due to electromagnetic waves would not occur.

In effect such an advanced society would be operating a strategy similar to the Planetarium Hypothesis [38] suggested by the science fiction writer Stephen Baxter where external reality is engineered and all we see a form of illusion. Intelligent extraterrestrial life may be in abundance but all signs of it are hidden from our gaze.

On the assumption that some form of containment policy did exist, from our perspective this might manifest itself in the continued failure of our technology programs which aim to achieve far reaching science goals. The sabotage of our technological advancement was explored in the novel The Three-Body Problem written by Liu Cixin [39]. We may get to a point of constructing an interstellar probe for example, but they will never go beyond a certain speed making journey times too long, or they will simply fail in their mission in deep space away from our ability to observe any sabotage of our vehicles.

After many attempts at trying to cross the interstellar void, and presumably at large economic cost, pressure would build on political systems to cease the attempt in the interest of other priorities. In addition, this would also lead to a belief among humanity that interstellar flight is simply not possible since the challenge is too great. A full stagnation of our technology programs past a certain containment zone in space would have been achieved and we may be none the wiser.

We can make preparations to test the existence of a containment zone by equipping our space probes with the appropriate technology and instrumentation sensors to pick up any deep space objects or interference in our probes. Just recently the Voyager 1 mission experienced a major computer malfunction [40], which after months of effort was fixed by designers at the Jet Propulsion Laboratory by uploading corrective programming. The error was put down to a faulty chip and was likely due to the increased cosmic ray flux as the probe goes further out into the interstellar medium and away from the protection of the solar heliosphere magnetic field. Yet, if there were interference in the probe, how would we know the difference or if indeed it has happened already? [41]. These sorts of issues need to be discussed by mission planners in parallel with planning for post-Voyager missions which have been proposed [42, 43, 44].

Breaking out of the Zoo

The U.S President Ronald Reagan recognised the potential impact of an ETI presence in a speech to the United Nations General Assembly in September 1987 in which he said “I occasionally think how quickly our differences worldwide would vanish if we were facing an alien threat from outside this world” [45]. In his speech he was emphasising how much unites the different groups of humanity rather than what makes us different. An imagined alien threat may have been somewhat over dramatized, but the point is still well made, that our disunion is not just a threat to them, but also to ourselves in creating a just and harmonious society. Indeed, this might be precisely what ETI is waiting for, before any meaningful level of inter-species dialogue can take place between two distinct and original interstellar species.

There is a simpler way to break out of any hypothetical zoo and it is one for which all nations of the world should take notice. If it was the case that there are many intelligent technological civilizations out there, but they choose to contain us, perhaps we should instead seek a path of humility and realise that it is highly improbable that we have more wisdom that the collective minds of many vast civilizations that may have existed for millions of years. Perhaps then this should be a prompt for us to look in the mirror at who we are as a species and who we want to become. To conduct ourselves in a manner that would not invite such a containment policy.

Recently, Western nation’s commemorated eighty years since the Normandy invasion of Europe during World War II and the many brave lives lost in the attempt to secure Europe from the grip of Nazi Germany. A mere two decades prior to this was World War I; the supposed war to end all wars. Looking at the world today in 2024, have we changed that much? For all our technological progress and the great truths uncovered by scientific discovery, isn’t our nature fundamentally the same as it always was? A diverse humanity in conflict with each other. This may simply be a result of our evolution through natural selection and undoing millions of years of our nature may not be a trivial undertaking.

We attempted some progress towards a more peaceful union in the construction of the United Nations in 1945 following World War II, and before that the League of Nations following World War I. At the United Nations, this is where all countries can at least sit at a table together and talk through differences without resorting to conflict. But is this institution working? How many conflicts rage around the world today, where it remains impotent to intervene? The United Nations was a good idea, but it clearly needs fundamental reform.

In issue 48 of The Federalist Papers written by James Madison in 1788, he makes a thought-provoking suggestion: “Happy would it be if such a remedy…could be enjoyed by all free governments; if a project equally effectual could be established for the universal peace of mankind” [46]. Whilst adopting a Federalist system for the whole world may be a step too far at this time, perhaps we can at least strive to increase our democratic union.

There may be another way in which the United Nations can be reformed and could lay the foundations for a more peaceful union that is also democratic, whilst also recognising the sovereignty of individual nation states. That is to address Article 27 of the United Nations Charter where “Each member of the Security Council shall have one vote” [47], for a two-thirds majority, and yet only certain states are given the power of a veto. These are the permanent members who include the United States, United Kingdom, France, Russia and China, all of which also happen to be nuclear armed states.

Historically, when a conflict continues with the loss of much civilian life despite attempts at resolutions by members of the United Nations, one can find evidence of a veto by one of these permanent members. As of spring 2024 the veto has been used a total of 277 times. This is split into 128 (Russia), 85 (United States), 29 (United Kingdom), 19 (China) and 16 (France) [48, 49]. How many conflicts could have been avoided if the veto power was not there?

Removing the veto power of permanent members and allowing each nation to have one vote may be the only way to fully achieve a democratic union of all countries in the world, whilst also protecting individual nation state sovereignty and preventing the homogenisation of a diverse set of rich human cultures, where diversity should also be seen as a factor in generating maximum creativity for problem solving. However, given the very different population sizes of countries some mechanism would be needed to ensure proportional representation. This might be in a manner similar to the method used by the United States Congress where all states have equal representation in the Senate but a proportional representation in the House of Representatives.

Even if a direct removal of this power is not feasible, perhaps there are variations on this idea which might be adopted as an alternative. This might include for example that with the five permanent members, for any veto to be carried forward it must have a majority among those five members, which means three against and two for any resolutions proposed by members. That would at least represent some progress towards a more cohesive union and dilute the right of any one nation to act on its own and prevent the will of a majority.

Is it reasonable that a single member of an institution which has 193 members in total has the power to prevent a resolution by a majority of the other representative? Indeed, this is manifest of Empire building and gives permission for unilateral actions of one state against another; the likes of which has so defined the last century of conflicts.

Instead of removing the veto it could be argued that it should be expanded to include more members, but this was already tried in the original League of Nations, where at one point the League Council included 15 countries with veto power and where it was difficult for decisions to be made on any complex issues. If the veto power is removed entirely from all nations, this would create a much more democratic process and arguably create the conditions for increased problem solving as nation states are forced to negotiate a settlement.

Whilst the veto allows states to act in their own sovereign rights and best national interests, removing it would force more of a consideration for international best interests and taking a broader view of humanity as one people. Is it not time to consider that adherence to a charter of rules-based order is more important than a principle of unanimty? Indeed, this may also be a pathway towards a more democratic union along the lines of the principle of subsidiarity at a local nation state level, but enhanced co-operation at a global level among civilised nations seeking to address common problems on the planet.

For sure removing the veto would come with consequences, particularly to those permanent members. Yet it would prevent for example the attack on one country by another without a much broader coalition agreement.

Where is the moral leadership on planet Earth today? It is certainly not being provided by any of the existing permanent members. Where are the grown-ups demanding people put their weapons down and break bread? This also highlights the ineffectiveness of the world’s religions, powerless to intervene, and lacking in courage to protect those caught in the middle of global conflicts. If any moral code laid down to the people of Earth should prompt them into action, “Thou shalt not kill” is certainly one of them. Yet, no definitive and unambiguous call towards peace is made by the leaders of these religions.

It should not be assumed that the conduct of these nations is not being observed closely with long term consequences to how our species will be permitted to advance, or even stagnated towards extinction in the interest of a higher principle than any for which we are currently aware.

In general, in the modern integrated geopolitical world, it should be harder to take unilateral action by one state against another, and when action is required, it should involve a multilateral approach. This would prevent the excesses of one dominant party against another, but also the moderation caused by the other members would result in a more reasonable approach to problem solving that represents a consensus position. For sure, such a decision would take a significant amount of courage and trust by the permanent members, but perhaps that is the bridge that must be crossed if our world is to become unified.

It has been argued that removing the veto would lead to the withdrawal of the permanent member states since they can no longer defend their security interests [50]. This may be so, but nations cannot have it both ways, they either want to exist in isolation or construct a harmonious existence with other nations, consistent with a peaceful and prosperous future for planet Earth. Faced with the potential contact with ETI in the near future, we should ask ourselves what arrangement would facilitate a better contact scenario? One where ETI is expected to engage in dialogue with 193 separate entities, or one where it engages with a representative body for which all nations have influence?

Imagine if the roles were reversed, and ETI came to our planet, but they came in 193 different missions representing that many different societies among their civilisations. How confusing would we find that? What would it say about their own societies lack of cohesion to give us pause for concern in reaching any agreements?

This all points towards a requirement for radical reforms in the governance model and how its various missions are executed and monitored. After all, for those permanent members that would oppose a removal of the veto, this sort of conduct gives their argument legitimacy. The primary function of the United Nations should be to prevent conflict, broker peace settlements, protect the innocent and help to create the conditions for a more prosperous human condition on this planet Earth.

That said, it is acknowledged that in removing the veto this potentially creates the conditions for a different type of geopolitical environment, where countries now attempt to ‘buy’ others votes by the promising of large infrastructure investment projects that would benefit their society. A form of nation state barter if you like. It would all need careful consideration.

The author also acknowledges that his own understanding for how the United Nations operates may be somewhat naive, and in fact the veto may be acting as a form of linchpin on the entire geopolitical diplomacy effort. To remove it may lead to unstable conditions which are difficult to predict. Nobody is a true predictor of the possible futures that may unfold. Yet, it must also be acknowledged that the existing system is not working.

To emphasise some of the positive achievements of the United Nations, in 2005 a study by the RAND corporation [51] concluded that the United Nations provides the most suitable institutional framework for nation building missions, with an emphasis on a comparatively low-cost structure and success rate, and the one with the greatest degree of international legitimacy. It is also a champion of human dignity through the Universal Declaration of Human Rights, first adopted in 1948.

Currently there is a campaign for a United Nations Parliamentary Assembly as a global network of parliamentarians, non-governmental organizations, scholars and citizens that advocate for democratic representation and an influence over global policy [52]. To date 137 nations have so far endorsed the idea. Such a suggestion might go some way to addressing some of the existing problems, but it depends on whether it has any actual power to influence resolutions.

In terms of our activities in outer space Crawford [53] proposed that a World Space Agency is required, possibly acting under the auspices of a federal world government. If the International Space Station in Low Earth Orbit has achieved one thing it has been demonstrating that different nations around the world can co-operate together behind a shared scientific exploration endeavour. This serves as a beacon of hope for what may be possible when we work together, and especially as humanity begins a new age of space exploration in the settlement of the Moon and Mars.

It is likely that significant reforms to our multilateral institutions would be difficult to implement if there is no will do so. Yet, let us not pretend then that the United Nations represents any form of democracy in action. Although the Charter states the words “We the Peoples of the United Nations” [47] the reality is that it has presided over the DisUnited Nations and continued conflict in international affairs. Until we are prepared as a global community to make the changes required to our governing institutions that leads to a more just world, it may be that for any observing ETI we are considered a threat that is to be contained.

A Cosmic Perspective

This is a planet that is spinning through space suspended in a dance of gravity around the Sun, itself spiralling around the Milky Way galaxy, a mere speck of dust in a vast and infinite universe. As we look at our world, we should be reminded of the words of Carl Sagan who said “Our posturings, our imagined self-importance, the delusion that we have some privileged position in the Universe, are challenged by this point of pale light”. He continued “To me, it underscores our responsibility to deal more kindly with one another, and to preserve and cherish the pale blue dot, the only home we’ve ever known” [54].

As discussed by Deardorff [55] the motivation for any type of containment may be for protecting any existing ETI civilizations from the aggressive tendencies of other emerging species. Any society that exhibits such characteristics will also become self-destructive and so it would be a sensible policy of ETI to not interfere in the development of emerging societies until they can at least demonstrate they can get over this phase of their development and achieve a state of peaceful cooperation with others. If they do become destructive then this would only serve to illustrate their unfitness to join a broader collective.

In the 1951 science fiction film The Day the Earth Stood Still, the alien visitor Klaatu gives a speech to the world. He refers to the creation of a galactic police force of robots that have absolute power over hostile life-forms, but where the conditions are created where civilizations can exist free from aggression and war, free to pursue more profitable enterprises. Klaatu states “It is no concern of ours how you run your own planet, but if you threaten to extend your violence this Earth of yours will be reduced to a burned out cinder” [56]. How would we change if we were really faced with such an ultimatum from outside?

Arthur C Clarke explores this in his 1953 novel Childhood’s End [57] when an alien race known as the Overlords descend to Earth and set about changing it. This includes the creation of a new World Federation using the United Nations to create a golden age of prosperity. Yet, for the humans in the story things do not end well as they eventually say goodbye to their children. When the aliens reveal themselves to humankind, they coincidently have the appearance of the devil, highlighting the illogical prejudice of our species.

In 2023 the United States Congress House Oversight Subcommittee held hearings [58] on the claims of pilots and former federal employees that unidentified anomalous phenomena (UAP) have been seen flying through our atmosphere today. It is interesting to note, following this saga on the social networks since, the suggestion of a spiritual component to the phenomena is being raised by some, with any potential ETI not being seen as our brothers and sisters among the stars, but rather as angels and demons.

Recently, the Vatican has released a document with new guidelines on the norms for discerning alleged supernatural phenomena [59]. Although the supernatural phenomena of interest to the Catholic Church is multi-varied as miracles, they also include the possible of ETI as divine apparitions.

It is these kinds of speculations which have a propensity to cause disharmony in human relationships and prevent our species from indeed achieving childhoods end. One must wonder what Carl Sagan would have thought about all this when he wrote his 1995 book The Demon-Haunted World [60] in an apparent reference to the irrationality of human thinking. Heaven and Hell do exist, and they exist simultaneously here on Earth today, manifest of our actions or inactions and “With our thoughts we create the world” [61].

In 1945 atomic bombs were dropped on the Japanese cities of Hiroshima and Nagasaki and with the hundreds of thousands of deaths that followed certainly hell on Earth existed for them. Today, in our world of global conflicts there exists over 13,000 nuclear warheads in stockpiles around the world which have a combined energy of around 4,000 Mtons TNT equivalent. Asteroids will hit the Earth with a velocity of between 18 – 30 km/s depending on their origin. Assuming such a spherical object was made entirely of Iron with a density of 7,890 kg/m^3, with this total energy it would have a diameter of around ~200-300 m across – equivalent to several football sized fields and where the environmental consequences of such an impact would be devastating.

Depending on the impact angle, ground target density and material, the impact would make a crater perhaps as large as 10 km in diameter and generate global environmental effects that are too profound to consider. In the distant future a new intelligence species may evolve on Earth and they would find themselves studying the fossilized remains of Homo Sapiens the way that we study the dinosaurs that disappeared 66 million years ago.

Given the conflicts that still rage around our planet, it is nothing short of insanity that we risk escalation where a new extinction level event presents a real and present danger as an existential threat to our species. If the United Nations is to have a function, it surely must be to prevent such a scenario as this from ever happening, and if it does happen, we can surely point to the Permanent Members as complicit in humanity’s destruction.

The Permanent Members of the United Nations are a result of winning World War II and they have helped to create the modern world that we live in and the periods of stability that we do enjoy. Yet they are also creating the conditions for instability by their conduct in the world and the constant wars, imposed ideologies and atrocities as crimes against humanity. Instead, imagine a future where instead of fighting each other, they were working towards a peaceful co-existence on Earth and in space; as they have done in the exploration of Antarctica and with the International Space Station. Imagine a future where we were building colonies on the Moon, the first cities on Mars, exploring the outer planets and beyond. What new discoveries await us as a grand prize in those undiscovered lands of hope?

Although it cannot be proven, it is possible that the Cosmos has a fundamental qualification for becoming a part of it instead of just being constrained to one planetary biosphere. Those that engage in disunion, conflict and war are not welcome among the intelligent life forms so natural to the stars. For those that engage in peaceful co-operation with each other and construct a union among a civilised people who value creativity, imagination and compassion to each other, even infinity defines no boundary to what may be achieved.

Perhaps only when we step up and recognise the changes that are required within ourselves, will ETI be prepared to fully engage with us. A global multilateral institution like the United Nations is clearly a primary candidate for such change, and if is not, then it is at least complicit in the disharmony of our world. Until then, like animals in a zoo, the broader truths of the wider universe may forever be hidden from our gaze.

Summary

The possible discovery of ETI is one of the most exciting pursuits of the scientific endeavour which will also have profound implications for our social-culture and our understanding of the Cosmos. Yet, whilst we search with enthusiasm for them, we should not be so sure that they are also keen to meet us. This is due to our nature and the tendency to construct technologies which can be used for the purpose of destruction rather than creation. This would be of grave concern to any ETI that exists in our galaxy which values self-preservation and life.

On the assumption that they do exist, and they also have concerns about us, we have speculated on the possibility that a zoo containment policy may be in place around our solar system and surrounding nearby space. Although we have also suggested that a physical containment zoo would be impractical to implement.

To ensure that containment, it may be necessary for ETI to take direct actions to limit our technology growth or the reach of that technology into deep space. This could be through methods of sabotage or other clandestine operations hidden from our view that ultimately result in the moderation of our capability to go further and faster. As President Reagan once said “Perhaps we need some outside, universal threat to make us recognize this common bond” [45]. Yet, they may already be here, and we would be extremely wise to pause and take notice. Benford has suggested that perhaps we should be looking for ETI lurkers within our own solar system and this idea has merit [62].

Since humanity is now reaching a point where certainly missions that travel at speeds of 100 km/s are possible today, and much higher speeds of order 1,000s km/s appear possible towards the end of this century, it would be prudent for us to build protection mechanisms into our space probes to detect the presence of ETI or their attempts to interfere in our space probes. This might include booby-traps in our software programming, or technology sensors which can detect their presence. Whilst this possibility may seem fantastic, this would be the most sensible way to test if a zoo hypothesis containment policy were in action around our solar system.

Meanwhile, it would be a sensible policy to encourage the better angels of our nature and maintain the bonds of affection between nations that are so essential to a peace-loving society which promotes compassion and wisdom as the defining characteristics of what it means to be a human being in a vast and expanding Cosmos, where we may not be alone. As the great scientist Albert Einstein said “Our task must be to free ourselves from this prison by widening our circle of compassion to embrace all living creatures and the whole of nature in its beauty” [63].

Any change is likely to necessitate fundamental reforms to our existing multilateral institutions. It is also likely to require the emergence of a new and inspirational moral leadership class that is currently in abeyance. It could be argued that the lack of moral leadership creates the conditions for global conflict and disunion among an otherwise peaceful people. In relation to space, it should certainly be our task “to avoid the extension of present national rivalries into this new field” [64].

Ultimately, the nations of the world must decide “whether societies of men are really capable or not, of establishing good government from reflection and choice, or whether they are forever destined to depend, for their political constitutions, on accident and force” [65]. A change to the status quo at the United Nations may be the only hope for humanity as we look out upon the precipice of either our fate or our destiny. One of these futures is waiting for us.

References

[1] G. Bruno, “On the Infinite Universe and Worlds” (L’infinito universo e mondi), 1584.

[2] NASA Strategic Plan 2022, NPD 1001.0D, https://www.nasa.gov/wp-content/uploads/2023/09/fy-22-strategic-plan-1.pdf?emrc=ff1a1e

[3] P. Davis, “The Origin of Life”, Penguin Science, 2003.

[4] Z. Budrikis, 30 Years of Exoplanet Detections, Nature Reviews Physics, 4, 290, 13 April 2022.

[5] I. A. Crawford, D. Schulze-Makuch, “Is the Apparent Absence of Extraterrestrial Technological Civilizations Down to the Zoo Hypothesis or Nothing?”, Nature Astronomy, 8, 44-49, January 2024.

[6] J. A. Ball, “The Zoo Hypothesis”, Icarus, 19(3), 347-349, July 1973.

[7] A. Loeb, “Extraterrestrial: The First Sign of Intelligent Life Beyond Earth”, Mariner Books, 2022.

[8] D. N. Michael, “Proposed Studies on the Implications of Peaceful Space Activities for Human Affairs”, A Report Prepared for the Committee on Long-Range Studies of the NASA, by the Brookings Institution, December 1960.

[9] R. P. Feynman, R. B. Leighton, M. Sands, “The Feynman Lectures on Physics”, Volume 1, 1-2, Addison-Wesley Publishing Company, 1963.

[10] A. C. Clarke, “Profiles of the Future”, Originally published 1962, Gateway, 2013.

[11] K. F. Long, “Unstable Equilibrium Hypothesis: A Consideration of Ultra-Relativistic and Faster Than Light Interstellar Spaceflight”, JBIS, 69, 97-101, 2016.

[12] S. E. Whitfield, G. Roddenberry, “The Making of Star Trek”, Ballantine Books, 1968.

[13] I. A. Crawford, “The Astronomical, Astrobiological and Planetary Science Case for Interstellar Spaceflight”, JBIS, 62(11/12), 415-421, November/December 2009.

[14] K. F. Long, “The Temporal Contact Equation: An Estimate for the Time of First Contact with ETI”, JBIS, 76(11), 279-282, November 2023.

[15] C. Sagan, “On the detectivity of Advanced Galactic Civilizations”, Icarus, 19(3), 350-352, July 1973.

[16] B. M. Oliver, “Project Cyclops Study: Conclusions and Recommendations”, Icarus, 19(3), 425-428, July 1973.

[17] K L G Parkin, “The Breakthrough Starshot System Model”, Acta Astronautica, 152, 370-384, November 2018

[18] J. Wright, “NASA and the Search for Technosignatures”, A Report from the NASA Technosignatures Workshop, Houston, Texas, 26-28 September, 2018.

[19] R. Zubrin, “Detection of Extraterrestrial Civilizations via the Spectral Signature of Advanced Interstellar Spacecraft”, Progress in the Search for Extraterrestrial Life ASP Conference Series, Edited by G. Seth Shostak, 74, 1995.

[20] Y. Ezoe, K. Ishikawa, T. Ohashi, Y. Miyoshi, N. Terada, Y. Uchiyama, H. Negoro, “Discovery of Diffuse Hard X-Ray Emission around Jupiter with Suzuku”, The Astrophysical Journal Letters, 709, L178-L182, 1 February 2010.

[21] D. M. Smith, W. A. Heindl, C. B. Markwardt, J. H. Swank, I. Negueruela, T. E. Harrison, L. Huss, “XTE J1739-302 as a Supergiant Fast X-Ray Transient”, The Astrophysical Journal, 638, 974-981, 20 February 2006.

[22] B. P. Abbot, “Observation of Gravitational Waves from a Binary Black Hole Merger”, Physical Review Letters, 116, 061102, 2016.

[23] K. F. Long, “A Case Study in Characterising Nuclear Propulsion Emission Signatures from Astrophysical Sources”, JBIS, 77(6), 2-15, June 2024.

[24] P. A. Lubin, “A Roadmap to Interstellar Flight”, JBIS, 69(2/3), 40-72, February/March 2016.

[25] A. Bond, A. R. Martin, “Project Daedalus: The Mission Profile”, Final Study Report, JBIS, Special Supplement, S37-S42, 1978.

[26] G. P. Jackson, “Antimatter-Based Propulsion for Exoplanet Exploration”, Nuclear Technology, 208, S107-S112, January 2022.

[27] C. Sagan, “Direct Contact Among Galactic Civilisations by Relativistic Interstellar Spaceflight”, Planet.Space Sci, 11, 1963.

[28] M. Millis, E. W. Davis, “Frontiers of Propulsion Science”, Progress in Astronautics and Aeronautics, 227, AIAA, 2009.

[29] M. McCulloch, “Quantised Accelerations, From Anomalies to New Physics”, Polaris Books, 2024.

[30] E. Mallove, E., Matloff, G., “The Starflight Handbook, A Pioneer’s Guide to Interstellar Travel”, John Wiley & Sons Inc, 1989.

[31] K. F. Long, “Deep Space Propulsion, A Roadmap to Interstellar Flight”, Springer, 2011.

[32] M. Alcubierre, “The Warp Drive: Hyper-Fast Travel within General Relativity”, Class Quantum Gravity, 11, L73-L77, 1994.

[33] D. Torres et al., “Chromaticity Effects in Microlensing by Wormholes”, Mod. Phys. Lett, A16, 973-984, 2001.

[34] D. R. J. Viewing, C. Horswell, E. W. Palmer, “Detection of Starships”, JBIS, 30, 99-104, 1977.

[35] A. Fitzsimmons., C. Snodrass, B. Rozitis, B. Yang, M. Hyland, T. Seccull, M. T. Bannister, W. C. Fraser, R. Jedicke, P. Lacerda, Spectroscopy and Thermal Modelling of the First Interstellar Object 1I/2017 U1 ‘Oumuamua, Nature Astronomy, 2, 133-137, 2018.

[36] D. Jewitt, J. Luu, Initial Characterization of Interstellar Comet 2I/2019 Q4 (Borisov), The Astrophysical Journal Letters, 886(2), L29, November 2019.

[37] N. S. Kardashev, “Transmission of Information by Extraterrestrial Civilizations”, Soviet Astronomy AJ, 8(2), September-October 1964.

[38] S. Baxter, “The Planetarium Hypothesis: A Resolution of the Fermi Paradox”, JBIS, 54(5/6), 210-216, 2001.

[39] L. Cixin, “The Three-Body Problem”, Chongqing Press, 2008.

[40] N. Hartono, “NASA Engineers Make Progress Toward Understanding Voyager 1 Issue”, NASA/JPL News, 15 March 2024.
https://voyager.jpl.nasa.gov/news/

[41] K. F. Long, “In the Hypothetical Scenario of an Interception of the Voyagers by an ETI Probe”, JBIS, 77(6), June 2024.

[42] S. Abdolrahimi, B. Yale, C. C. Tzounis, J. Fofrich, P. Rohan, J. Cabrera-Guzman, J. C. Welsher, N. Nakhjiri, D. Scott, A. Johnson, “Voyager 3: A Concept Mission to Interstellar Medium”, Journal of Spacecraft & Rockets, 59(3), May 2022.

[43] R. L. McNutt Jr, R. F. Wimmer-Schweingruber, M. Gruntman, S. M. Krimigis, E. C. Roelof, P. C. Brandt, S. R. Vernon, M. V. Paul, R. W. Stough, J. D. Kinnison, “Interstellar Probe – Destination: Universe!”, Acta Astronautica, 196, 13-28, July 2022.

[44] K. F. Long, “Development of SunVoyager Interstellar Precursor Probe Driven by Inertial Confinement Fusion Propulsion”, Journal of Spacecraft & Rockets, May 2024.

[45] R. Reagan, Speech to the United Nations General Assembly, September 1987.

[46] J. Madison, “Federalist No.48”, The New York Packet, 1 February 1788.

[47] The Charter of the United Nations and the Statute of the International Court of Justice, 1945.

[48] “The Veto: UN Security Council Working Methods”, Security Council Report, 13 February 2024. https://www.securitycouncilreport.org/un-security-council-working-methods/the-veto.php

[49] “General Assembly Adopts Landmark Resolution Aimed at Holding Five Permanent Security Council Members for Use of Veto”,

[50] T. Schindlmayr, “Obstructing the Security Council: The Use of the Veto in the Twentieth Century”, Journal of the History of International Law, 3(2), 218-234, 01 January 2001.

[51] J. Dobbins, S. G. Jones, K. Crane, A. Rathmell, B. Steele, R. Teltschik, A. Timilsina, “The UN’s Role in Nation-Building, From the Congo to Iraq”, RAND Corporation, 2005.

[52] Campaign for a United Nations Parliamentary Assembly. https://www.unpacampaign.org/

[53] I. A. Crawford, “Who Speaks for Humanity? The Need for a Single Political Voice”, Book Chapter Contribution for “Astrobiology: Science, Ethics and Public Policy” edited by O Torres et al., Scrivener Publishing LLC, 2021.

[54] C. Sagan, “Pale Blue Dot”, Random House, 1997.

[55] J. W. Deardorff, “Possible Extraterrestrial Strategy for Earth”, Q.Jl R. Astr.Soc, 27, 94-101, 1986.

[56] R. Wise (Director), “The Day the Earth Stood Still”, 20th Century Fox, 1951.

[57] A. C. Clarke, “Childhood’s End”, Ballantine Books, 1953.

[58] “Unidentified Anomalous Phenomena: Implications on National Security, Public Safety, and Government Transparency”, United States Congress Subcommittee Hearing, 26 July 2023.

[59] “Norms for Proceeding in the Discernment of Alleged Supernatural Phenomena”, 2024.

[60] C. Sagan, “The Demon-Haunted World: Science as a Candle in the Dark”, Random House, 1995.

[61] Gautama Buddha, 5th/6th Century religious teacher.

[62] J. Benford, “Looking for Lurkers: Co-orbiters as SETI Observables”, The Astronomical Journal, 158(4), 150, 20 September 2019.

[63] A. Einstein, Letter to Robert S Marcus, February 1950.

[64] G. Clark and L. B. Sohn, “World Peace Through World Law”, Harvard University Press, 1962.

[65] J. Madison, “Federalist 1”, The Federalist Papers, 1787.

[66] “The Constitution of the United States of America and Selected Writings of the Founding Fathers”, Barnes & Noble, 2012.

ETI Contact and Multilateralism

In a recent article published by the Centuri Dreams blog I examine the idea of the Zoo containment hypothesis. This is the idea that humans are being contained within this solar system and any knowledge of an ExtraTerrestrial Intelligence (ETI) is being hidden from our gaze.

I firstly explore the history of the Zoo hypothesis and then I argue from a principle of absurdum why it does not work in practice. That is to say, it is not possible to completely shield human eyes, and our instrumentation detectors, from energy and particle emissions that are likely to originate from technological machines such as power and propulsion technology.

I then discuss the issue of why might an ETI want to contain humanity and that perhaps we should be introspective and take a look at our own conduct, such as our propensity for conflict and war. I then look at the principle agency charged with keeping peace among nations, known as the United Nations, and I argue that it is not working. I then explore how some reforms might be considered towards the creation of a greater democratic union.

The full article can be read on the Centauri Dreams news blog:

Advancing Space Technology and Preparing for Contact with Extraterrestrial Intelligence through Multilateralism | Centauri Dreams

New Paper Published on Voyagers

I have recently published a new paper involving a speculative conjecture on the possibility of a Voyager encounter with an ETI probe. The paper has been published by the Journal of the British Interplanetary Society in the May 2024 issue.

The paper speculates that a recent Voyager 1 anomaly with the Flight Data System (FDS) could be attributed to a forced downlink operation by a passing ETI probe. This speculation is made as an exercise in how we might think about detecting such operations in the future, on the assumption that a Zoo containment policy of our Solar System was in place.

An ETI probe might be motivated to take such action in the interest of understanding where the probe comes from and what is its intentions. In addition, an examination of its technology, particularly power and propulsion, tells them something about the progress of our development and therefore when we will be out there.

For now, it is concluded that the likely cause of the anomaly was due to the enhanced cosmic ray flux as the probe ventured further out into the interstellar medium, yet the thought provoking idea is worthy of considering for the future. In particular, how might we design in booby traps into our hardware and software technologies so that any future attempted interference could be detected.

The full paper can be retrieved by ordering from the British Interplanetary Society:

In the Hypothetical Scenario of an Interception of the Voyagers by an ETI Probe – BIS Shop

First Contact with ETI

Recently I published one of my more speculative papers to date. I derived a very simple equation to estimate the time of first contact with Extraterrestrial Intelligence (ETI). This calculation neglected the possibility that they would come here and only considered (as a thought experiment) the possibility of us interacting with them either in deep space (in the space between the stars) or in their planetary system of ETI origin by one of our probes. The paper emphasised two key developments which will enable first contact being; advanced propulsion capability and the discovery of many exoplanets through astronomical observations.

This calculation depended upon two factors (1) the growth rate to mature our technological propulsion capability to the appropriate velocity, where as a case study I examined up to 0.1c (2) the distance to the astronomical target where it is assumed an exoplanet has been discovered with the appropriate conditions for life, for which we may choose to send such a probe. The two factors were split into the two components of the temporal contact equation, where n was an index that defined how fast the technology was maturating towards the required performance level.

I concluded that for interstellar targets out to 10 LY first contact may occur any time in the next ~25 - 174 years. For targets out to 100 LY first contact may occur any time in the next ~114 - 1,044 years. For targets out to ~200 LY first contact may occur any time in the next ~214-2,000 years. The range of values was a function of the growth rate parameter index. Any maturation of technology into the relativistic velocity regime will only serve to highlight these conclusions.

On the basis of the above I recommended that astronomers should give particular attention to any exoplanets within ~200 LY distance. Since this neglected the possibility of them coming here, and given the age of our sun relative to other stars, the probability that they would have been here already or at least had knowledge of us was argued to be high. This also implied that the scenario of an ETI presence in our own solar system was also high.

Although, these conclusions do depend on the assumption of a galaxy that is filled with independent biogenesis which emerges purely as a function of chemistry and the rise of intelligence in the first place and so is the major uncertainty on any conclusions. This also makes certain assumptions about the nature of intelligent life as organic/chemical in origin when in fact it could be defined more broadly but this is beyond our current knowledge (i.e. Schrodinger's definition of life being a resistance from decay to thermodynamic equilibrium).

The paper was:

K. F. Long, The Temporal Contact Equation: An Estimate for the Time of First Contact with ETI, JBIS, 76(11), 279 - 282, November 2023.

Zoo Containment

The Fermi Paradox is the idea that there is a discrepancy between our expectations for intelligent life in the Cosmos based on theoretical calculations, and our observations that we do not see any. This was first proposed as a lunch time problem by the physicist Enrico Fermi in the 1950s.

One of the possible explanations for this is the Zoo hypothesis. That is the suggestion that any extraterrestrial intelligence (ETI) would keep at a distance away from us so as to not interfere in our sociological and technological development but also to deny us knowledge of them. We might consider this a soft zoo hypothesis. It was first suggested in 1973 in a paper that is worth reading: J. Ball, The Zoo Hypothesis, Icarus, 19, 347-349, 1973.

A harder version would see ETI taking direct action to contain us, under the impression that we are a threat to any intelligent life in the Cosmos due to our propensity for warfare and other destructive tendencies. This might involve actions of sabotage against our technological development for example, or hiding data from us that might indicate their presence.

Yet there is a fundamental problem with the zoo hypothesis that has not been discussed widely in the literature. That is how to successfully hide emission signatures from our gaze which might come from anywhere in the Universe? Particularly from electromagnetic radiation such as due to power and propulsion signatures. This might include Bremsstrahlung radiation, Cyclotron or Synchrotron radiation for example associated with fusion reactions.

Over the centuries humanity has developed all sorts of optical telescopes, the latest being the James Webb Space Telescope which is currently in Earth orbit, and is already starting to overtake the Hubble Space Telescope in its discoveries. But there are many other types of telescopes or imaging technologies we have developed that can see through all parts of the electromagnetic spectrum. This includes x-rays, radio waves, ultra-violet…..and it would be near impossible to screen every emission that might travel through space and prevent it from reaching our detectors.

In addition, not only do they have to be screened and filtered out, but also distinguished from any background astrophysical sources for which is the basis of our astronomical program. If we couldn’t detect emission from astrophysical objects we would become suspicious and it certainly would prevent us developing credible physical laws that apply across all time and space.

This suggests that in order to filter and distinguish these emissions, ETI would have to construct a large mega structure perimeter wall around our solar system at a set distance which would be a significant undertaking. Yet it would have to be constructed of a material that was transparent to radiation and yet programmable. Any example of this might be silica aerogel for example with an average density of 20 kg per cubic meter. Yet if for example it was positioned at a distance of 100 Astronomical Units around our sun, and had a thickness of 100 m, this would still have a mass of order 6 times 10^23 kg which is around 1/10th the mass of the Earth. This is definitely a megastructure configuration and would require the resources and technology of a civilization that is much further advanced than our own.

Considering this possibility, as humanity advanced further out the perimeter of the wall would have to change also, which means that it would require constant management and construction, commensurate with our pace of technological advance. This doesn’t seem credible or practical as a strategy for managing a zoo containment strategy around a particular species and its associated solar system.

Therefore if a zoo containment strategy is in operation it is more likely that a softer version is in effect where they simply avoid us. Yet this doesn’t stop us picking up their emissions and over time the case would build for the existence of ETI by our own science program. How then would this be managed?

It would require local management as in by a particular group of humans who are able to control the science programs, what is detected and announced, and how that information is interpreted as a new astrophysical object that had never been seen before. We might call this an ‘Inverse Zoo Hypothesis’, since the zoo containment is being facilitated by humans, where the vast population of the public is kept from the critical information that might indicate an ETI presence. Only time will show if we are living in a zoo of any kind, whilst we float through the void of space locked to a single star and its worlds, yet left wondering what might lay beyond the boundary of our reach.

Linquistics

One of the complex decisions to make about the Apkallu initiative artefact is what is the nature of the information that is to be displayed. It is useful to briefly explore different types of information.

The first written language was cuneiform and it was invented by the Sumerians in the late 4th millennium B.C. It is known as a language isolate since it does not have any genealogical relationship to other languages. The language began as a pictogram based system and then evolved to a logophonetic one. What is the difference?

A language based upon pictograms is one which conveys its meaning through an image to represent an physical object. Other than the original cuneiform the other good example of this is Egyptian hieroglyphic writing. Such things were also ideograms which represented symbols and ideas, and can often be independent of any particular language. Pictograms may often evolve into full logograms, which is a written character that represents a word of phrase.

The other type of writing is phonograms which do not have a word or phrase meaning in singular form until they are combined with other phonograms. This is the basis of phonetic writing and alphabets.

Fundamental to an alphabet is the concept of a syllable, which is a unit of organization for sounds of spoken word. A word that contains only one syllable is called monosyllable. For a word containing two, three or more syllables they are termed disyllable, trisyllable and polysyllable respectively. What makes up a syllable is a group of consonants and vowels. For the English language the vowels are a, e, I, o and u. All other letters are the consonants. 

A syllable is constructed around a central vowel which is called the nucleus. The consonant to the right of it is called the Coda, and with the nucleus this makes up what is called the Rime. If a consonant precedes the nucleus it is called the Onset

Here is an example to break this down. Let us take the word water. This contains two syllables, which are wa and ter. For the first syllable it contains only an onset and a nucleus. For the second syllable it contains an onset, a nucleus and a Coda and so also a Rime. 

What this all illustrates is that the structure of language is complex and this needs to be kept in mind in the design of the Apkallu initiative artefact. If logograms are used then careful thought must go into their choice. If phonograms are used then no matter what language they are written in, it has to be communicated to the future explorer who finds the artefact how a syllable and its constituents is the fundamental building blocks of language. 

 In 2016 a film came out called 'Arrival', directed by Dennis Villeneuve and based on the short story by Ted Chiang called 'Story of Your Life'. One of the central events of the film is in an attempt to translate an unknown alien language, the word 'tool' is misunderstood to be 'weapon', leading to the pending tension that follows in the plot and the risk of a first contact scenario going horribly wrong. 

In the design of the Apkallu initiative artefact, one must also think carefully as to how any information encoded onto it can be misinterpreted. Indeed, on the assumption that the artefact was studied and embraced for all of the knowledge it could teach, there is even a risk that the artefact would start to be treated as a spiritual / religious item and so its text could be embraced by some as a form of dogma. This may in fact act to regress sociological and technological progress down the line, which is the opposite of what the Apkallu initiative wants to achieve.

For the Apkallu initiative, a full understanding of linguistic information transfer, is critical to the successful achievement of its mission.

This article was originally posted on a previous web site for the Apkallu Initiative on 3rd July 2018 and it has been copied here since that site was closed down.

SETI Extremes of Analysis

A simple way to frame the Fermi paradox is as a contraction between our theoretical expectation for intelligent life in the galaxy (based on probability arguments) and our observation that none is observed. When reading different peoples views about the Fermi Paradox the proposed explanations have a pessimistic and an optimistic extreme

The traditional chauvinism arguments that prevail in the scientific community were advanced by Martin & Bond [1]. Drake-Sagan chauvinism essentially advocates a crowded galaxy [2, 3] and arguably the extreme viewpoint of this constitutes an acceptance of alien abduction as a real phenomenon. Hart-Viewing chauvinism advocates that our species is probably the first intelligence life to arise in the galaxy [4, 5, 6], and arguably the extreme view point of this constitutes a belief in a deity (religious) who created only mankind and none others – Mankind is unique.

There are many other potential solutions proposed to explain the Fermi paradox other than the two extremes argued above. Such as the galaxy is too big to allow interaction within our civilization time, or that we are being deliberately quarantined from other more peaceful species in a so called Zoo hypothesis. It may also be the case that advanced intelligent probes are or have been here but our limited technology is not capable of detecting them. Another favourite is that civilizations reach a critical point in their technological development where they either flourish or destroy themselves in a nuclear war. Large scale natural catastrophes will also impact the number of civilizations in the galaxy and thereby the probability of interaction. 

The Fermi Paradox is really a conflict of two ideas. Idea one: the universe is teaming with life. Idea two: the universe is empty. Yet our observations currently seem incapable of resolving these two philosophical perspectives. These are framed within the question of comparing our theoretical expectations with our experimental observations – the fact that they are in conflict implies one is incorrect. Either our theoretical expectation is wrong or based on a false premise. Alternatively, our experimental observations are flawed, limited or looking in the wrong regime. How do we resolve these ‘facts in conflict’ – through logic. The first point of our reasoning must be that this is not in fact a paradox but merely a logical contradiction.

We can define a paradox as a statement that apparently contradicts itself, such as a logical paradox which is an invalid argument. A paradox will often have revealed errors in definitions that are assumed to be rigorous. Because of this, I do not see the Fermi problem as a logical paradox, but more of a logical contradiction in terms. That is to say, that in classical logic, a contradiction consists of a logical incompatibility between two or more propositions. It occurs when two conclusions which form the logical, usually opposite inversions of each other. Hence I like to reformulate the Fermi Paradox as the Fermi problem.

Instead, it is better to look at the Fermi problem, from the standpoint of a mathematical axiom. An axiomatic system is any set of axioms from which some or all axioms can be used in conjunction to logically derive theorems. A mathematical theory consists of an axiomatic system and all its derived theorems. So with the Fermi problem, any statement which asserts the presents of intelligent life in the galaxy is a theorem, which must derive from the axiom that the galaxy is capable of hosting intelligent life in the first place. We know that this this axiom is true, because we are here, and so we represent the manifest evidence for the starting point of reasoning, to be accepted as true without controversy. Given that we exist, we are left to ask do others exist?

This then leads to the development of a hypothesis as a proposed explanation for the phenomenon. And in the Fermi problem there are two forms of hypothesis that are proposed. The first hypothesis is that the galaxy is capable of hosting more than one intelligent life form on separate worlds around other stars. The second hypothesis is that we have the technological capability to measure the presence of such intelligent life should it exist. But these are not logical paradoxes, merely mutually exclusive and independent hypothesis which can be tested, in order to develop full theorems.

Today many debate the different arguments of the so called Fermi Paradox, but there are numerous issues with our handling of it which make reasonable progress not sensible, due to the logical fallacy of the questions and how they are framed. When we forget the fundamental rules of reasoning and how to construct and deconstruct logical arguments as taught to us by the classical Trivium, we are bound to lead ourselves astray and destined to not answer the questions that our curiosity drives us towards.

References

[1] Martin, A.R & A.Bond, “Is Mankind Unique? – The Lack of Evidence For Extraterrestrial Intelligence”, JBIS, 36, pp.223-225, 1983.

[2] Shklovskii, I.S & C.Sagan, “Intelligent Life in the Universe”, Holden Day, 1966.

[3] Sagan, C & F.Drake, “The Search for Extraterrestrial Intelligence”, Sci.Am.,232,80, May 1975.

[4] Viewing, D, “Directly Interacting Extraterrestrial Technological Communities”, JBIS, 28, 735, 1975.

[5] Hart, M, “An Explanation for the Absence of Extraterrestrials on Earth”, QJRAS, 16, 128, 1975.

[6] Tipler, F.J, “Extraterrestrial Intelligent Beings Do Not Exist”, QJRAS, 21, 267, 1980.